
Christchurch City Council
Agenda
Notice of Meeting Te Pānui o te Hui:
An ordinary meeting of the Christchurch City Council will be held on:
Date: Wednesday 6 August 2025
Time: 9.30 am
Venue: Boardroom, Fendalton Service Centre, Corner Jeffreys and Clyde Roads, Fendalton
Membership
|
Chairperson Deputy Chairperson Members |
Mayor Phil Mauger Deputy Mayor Pauline Cotter Councillor Kelly Barber Councillor Melanie Coker Councillor Celeste Donovan Councillor Tyrone Fields Councillor James Gough Councillor Tyla Harrison-Hunt Councillor Victoria Henstock Councillor Yani Johanson Councillor Aaron Keown Councillor Sam MacDonald Councillor Jake McLellan Councillor Andrei Moore Councillor Mark Peters Councillor Tim Scandrett Councillor Sara Templeton |
30 July 2025
|
Principal Advisor Mary Richardson Chief Executive Tel: 941 8999 |
Meeting Advisor Katie Matheis Senior Democratic Services Advisor Tel: 941 5643 |
Website: www.ccc.govt.nz

TABLE OF CONTENTS NGĀ IHIRANGI
Karakia Tīmatanga................................................................................................... 5
1. Apologies Ngā Whakapāha................................................................................. 5
2. Declarations of Interest Ngā Whakapuaki Aronga.................................................. 5
3. Public Participation Te Huinga Tūmatanui............................................................ 5
3.1 Public Forum Te Huinga Whānui.......................................................................................... 5
3.2 Deputations by Appointment Ngā Huinga Whakaritenga...................................................... 5
4. Presentation of Petitions Ngā Pākikitanga............................................................ 5
Council
5. Council Minutes - 2 July 2025.............................................................................. 7
6. Council Minutes - 11 June 2025.......................................................................... 15
7. Council Minutes - 16 July 2025........................................................................... 25
Committee Minutes Reports
8. Health, Safety and Wellbeing Committee Minutes - 27 June 2025........................... 37
9. Civic Awards Committee Minutes - 14 July 2025................................................... 41
Community Board Monthly Reports
10. Monthly Report from the Community Boards - July 2025....................................... 45
Community Board Part A Reports
11. Oaklands School Safety Improvements - Dunbars Road Signalised Crossing........... 111
12. Knights Stream School Safety Improvement - Signalised Crossing on Halswell Junction Road............................................................................................................ 137
13. Barrington/Frankleigh/Milton Intersection Improvements.................................. 161
14. Spreydon, Somerfield, Waltham, Beckenham CRAF - Selwyn Street pedestrian and cycle safety improvements..................................................................................... 173
15. Spreydon, Somerfield, Waltham, Beckenham CRAF - Lyttelton Street safety improvements............................................................................................... 203
Staff Reports
16. Development Contributions Remission Application - The Arts Centre.................... 221
17. 151/153 Gilberthorpes Road - Future Use Issues and Options............................... 231
18. Proposed Locky Dock cycle parking and charging station in Rauora Park, Lichfield St 247
19. Setting of Speed Limits Rule 2024: Management of Non-Installed Limits - Nor'West Arc Section 3 (University to Harewood Road).......................................................... 267
20. Setting of Speed Limits Rule 2024: Management of Non-Installed Limits - Worcester Street (Latimer Square to Fitzgerald Ave)................................................................... 309
21. Setting of Speed Limits Rule 2024: Management of Non-Installed Limits - Antigua Street (Moorhouse to St Asaph)................................................................................. 325
22. Extension of Time for Heritage Incentive Grant to 527 Colombo Street, New City Hotel 335
23. Council submission on Going for Housing Growth proposals................................ 355
24. Resolution to Exclude the Public...................................................................... 378
Karakia Whakamutunga
Actions Register Ngā Mahinga Tuwhera
Whakataka te hau ki te uru
Whakataka te hau ki te tonga
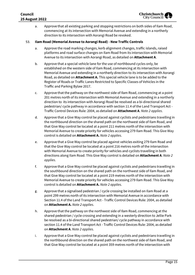
Kia mākinakina ki uta
Kia mātaratara ki tai
E hī ake ana te atakura
He tio, he huka, he hau hū
Tihei mauri ora
1. Apologies Ngā Whakapāha
Apologies will be recorded at the meeting.
2. Declarations of Interest Ngā Whakapuaki Aronga
Members are reminded of the need to be vigilant and to stand aside from decision-making when a conflict arises between their role as an elected representative and any private or other external interest they might have.
3. Public Participation Te Huinga Tūmatanui
3.1 Public Forum Te Huinga Whānui
A period of up to 30 minutes is available for people to speak for up to five minutes on any issue that is not the subject of a separate hearings process.
|
Drucilla Kingi-Patterson will speak regarding a community and Council working party for rail, as well as one for a flood protection management centre, and the Bus Exchange toilets.
|
3.2 Deputations by Appointment Ngā Huinga Whakaritenga
Deputations may be heard on a matter, or matters, covered by a report on this agenda and approved by the Chairperson.
|
Daniel Stirland and Philip Aldridge will speak on behalf of the Arts Centre regarding Item 16 – Developments Contributions Remission Application – The Arts Centre.
|
4. Presentation of Petitions Ngā Pākikitanga
There were no Presentations of Petitions at the time the agenda was prepared.
To present to the Council, refer to the Participating in decision-making webpage or contact the meeting advisor listed on the front of this agenda.
|
Reference Te Tohutoro: |
25/1321761 |
|
Responsible Officer(s) Te Pou Matua: |
Katie Matheis - Senior Democratic Services Advisor |
|
Accountable ELT Member Pouwhakarae: |
Mary Richardson, Chief Executive |
1. Purpose of Report Te Pūtake Pūrongo
For the Council to confirm the minutes from the Council meeting held 2 July 2025.
2. Recommendation Te Tūtohu Council
That the Council confirms the Minutes from the Council meeting held 2 July 2025.
Attachments Ngā Tāpirihanga
|
No. |
Title |
Reference |
Page |
|
A⇩ |
Minutes Council - 2 July 2025 |
25/1296115 |
8 |
Signatories Ngā Kaiwaitohu
|
Author |
Katie Matheis - Senior Democratic Services Advisor |
|
Reference Te Tohutoro: |
25/1365381 |
|
Responsible Officer(s) Te Pou Matua: |
Natasha McDonnell, Democratic Services Advisor |
|
Accountable ELT Member Pouwhakarae: |
Helen White, General Counsel / Director of Legal & Democratic Services |
1. Purpose of Report Te Pūtake Pūrongo
For the Council to confirm the minutes from the Council meeting held 11 June 2025.
2. Recommendation Te Tūtohu Council
That the Council confirms the Minutes from the Council meeting held 11 June 2025.
Attachments Ngā Tāpirihanga
|
No. |
Title |
Reference |
Page |
|
A⇩ |
Minutes Council - 11 June 2025 |
25/1116371 |
16 |
Signatories Ngā Kaiwaitohu
|
Author |
Natasha McDonnell - Democratic Services Advisor |
|
Reference Te Tohutoro: |
25/1428640 |
|
Responsible Officer(s) Te Pou Matua: |
Samantha Kelly, Team Leader Democratic Services Support |
|
Accountable ELT Member Pouwhakarae: |
Mary Richardson, Chief Executive |
1. Purpose of Report Te Pūtake Pūrongo
For the Council to confirm the minutes from the Council meeting held 16 July 2025.
2. Recommendation Te Tūtohu Council
That the Council confirms the Minutes from the Council meeting held 16 July 2025.
Attachments Ngā Tāpirihanga
|
No. |
Title |
Reference |
Page |
|
A⇩ |
Minutes Council - 16 July 2025 |
25/1396489 |
26 |
Signatories Ngā Kaiwaitohu
|
Author |
Samantha Kelly - Team Leader Democratic Services Support |
1. Purpose of Report Te Pūtake Pūrongo
The Health, Safety and Wellbeing Committee held a meeting on 27 June 2025 and is circulating the Minutes recorded to the Council for its information.
2. Recommendation Te Tūtohu Council
That the Council receives the Minutes from the Health, Safety and Wellbeing Committee meeting held 27 June 2025.
Attachments Ngā Tāpirihanga
|
No. |
Title |
Reference |
Page |
|
A⇩ |
Minutes Health, Safety and Wellbeing Committee - 27 June 2025 |
25/1263212 |
38 |
Signatories Ngā Kaiwaitohu
|
Author |
Simone Gordon - Democratic Services Advisor |
|
Reference Te Tohutoro: |
25/1409790 |
|
Responsible Officer(s) Te Pou Matua: |
Natasha McDonnell, Democratic Services Advisor |
|
Accountable ELT Member Pouwhakarae: |
Helen White, General Counsel / Director of Legal & Democratic Services |
1. Purpose of Report Te Pūtake Pūrongo
The Civic Awards Committee held a meeting on 14 July 2025 and is circulating the Minutes recorded to the Council for its information.
2. Recommendation Te Tūtohu Council
That the Council receives the Minutes from the Civic Awards Committee meeting held 14 July 2025.
Attachments Ngā Tāpirihanga
|
No. |
Title |
Reference |
Page |
|
A⇩ |
Minutes Civic Awards Committee - 14 July 2025 |
25/1355121 |
42 |
Signatories Ngā Kaiwaitohu
|
Author |
Natasha McDonnell - Democratic Services Advisor |
|
10. Monthly Report from the Community Boards - July 2025 |
|
|
Reference Te Tohutoro: |
25/1384891 |
|
Report of Te Pou Matua: |
The Chairpersons of all Community Boards |
|
Accountable ELT Member Pouwhakarae: |
Andrew Rutledge, General Manager Citizens and Community |
1. Purpose and Origin of the Report Te Pūtake Pūrongo
1.1 The purpose of this report is to provide the Council with an overview of initiatives and issues recently considered by the Community Boards. This report attaches the most recent Community Board Area Report included in each Board's public meeting. Please see the individual agendas for the attachments to each report.
1.2 Each Board will present important matters from their respective areas during the consideration of this report and these presentations will be published with the Council minutes after the meeting.
2. Community Board Recommendations Ngā Tūtohu a te Poari Hapori
That the Council:
1. Receives the information in the Monthly Report from the Community Boards - July 2025 Report.
Attachments Ngā Tāpirihanga
|
No. |
Title |
Reference |
Page |
|
a ⇩ |
Waimāero Fendalton-Waimairi-Harewood Community Board Area Report July 2025 |
25/1386606 |
46 |
|
b ⇩ |
Waipapa Papanui-Innes-Central Community Board Area Report July 2025 |
25/1386608 |
53 |
|
c ⇩ |
Waipuna Halswell-Hornby-Riccarton Community Board Area Report July 2025 |
25/1386609 |
71 |
|
d ⇩ |
Waitai Coastal-Burwood-Linwood Community Board Area Report July 2025 |
25/1386610 |
80 |
|
e ⇩ |
Te Pātaka o Rākaihautū Banks Peninsula Community Board Area Report July 2025 |
25/1386612 |
95 |
|
f ⇩ |
Waihoro Spreydon-Cashmere-Heathcote Community Board Area Report July 2025 |
25/1386613 |
101 |
|
11. Oaklands School Safety Improvements - Dunbars Road Signalised Crossing |
|
|
Reference Te Tohutoro: |
25/1397130 |
|
Responsible Officer(s) Te Pou Matua: |
Gemma Dioni, Principal Advisor - Transport |
|
Accountable ELT Member Pouwhakarae: |
Andrew Rutledge, General Manager Citizens and Community |
|
2. Waipuna Halswell-Hornby-Riccarton Community Board Recommendation to Council |
|
|
|
1. Approves in accordance with Section 8.5 of the Land Transport Rule – Traffic Control Devices: 2004 that a signalised roadway crossing be installed on Dunbars Road, located 53 metres northwest of its intersection with Balkwell Street, and as detailed on Plan TG1502s2 dated 25/05/2025 included in Attachment A. This signalised crossing is for use by the classes of road user as defined in Section 11.1A of the Land Transport (Road User) Rule: 2004. 2. Approves in accordance with Clause 18 of the Christchurch City Council Traffic and Parking Bylaw 2017, that a Special Vehicle Lane for the use of southeastbound road users be installed on the southeast side of Dunbars Road commencing at a point approximately 23 metres north of its intersection with Balkwell Street and extending in a northwesterly direction for a distance of 51 metres. 3. Approves in accordance with Clause 18 of the Christchurch City Council Traffic and Parking Bylaw 2017, that a Special Vehicle Lane for the use of northwestbound road users be installed on the southwest side of Dunbars Road commencing at a point approximately 34 metres northwest of its intersection with Balkwell Street and extending in a northwesterly direction for a distance of 37 metres. |
In addition to the attached documents, the following background information is available:
|
Document Name – Location / File Link |
|
Not applicable
|
Attachments Ngā Tāpirihanga
|
No. |
Report Title |
Reference |
Page |
|
Oaklands School Safety Improvements - Dunbars Road Signalised Crossing |
25/862396 |
114 |
|
No. |
Title |
Reference |
Page |
|
a ⇩ |
Dunbars Road Signalised Crossing |
25/1031007 |
123 |
|
b ⇩ |
Memo - Halswell School Package of Improvements |
25/1031003 |
124 |
|
c ⇩ |
Dunbars Road - Option 2 |
25/1270596 |
136 |
1. Purpose and Origin of the Report Te Pūtake Pūrongo
1.2 The report has been written in response to ongoing safety concerns at this location, particularly children walking, cycling and scooting to Oaklands Te Kura o Ōwaka School.
1.2.1 In July 2023 (Minutes, Item 7), the Waipuna Halswell-Hornby-Riccarton Community Board resolved the following Notice of Motion (HHRB/2023/00051):
Requests staff investigate safe pedestrian access between Halswell School and Country Palms (Sabys Road) as well as between Oaklands School and Aidanfield (Dunbars Road).
1.2.2 There is no existing crossing point on Dunbars Road between the Dunbars Road/Hindess Street/McMahon Drive roundabout and the Halswell Road traffic signals. Children cross at this location close to Balkwell Street from the Aidanfield sub-division to access the school. There are also bus stops in the vicinity.
1.3 The recommendation is to install a traffic signal-controlled crossing, with high-friction surfacing in advance of the crossing as shown in Attachment A. Due to the existing and potential traffic volumes and the speed of vehicles along this corridor, other options for low-cost treatments were not considered reasonably practicable or were not the recommended option.
2. Officer Recommendations Ngā Tūtohu
That the Waipuna Halswell-Hornby-Riccarton Community Board recommends that the Council:
1. Approves in accordance with Section 8.5 of the Land Transport Rule – Traffic Control Devices: 2004 that a signalised roadway crossing be installed on Dunbars Road, located 53 metres northwest of its intersection with Balkwell Street, and as detailed on Plan TG1502s2 dated 25/05/2025 included in Attachment A. This signalised crossing is for use by the classes of road user as defined in Section 11.1A of the Land Transport (Road User) Rule: 2004.
2. Approves in accordance with Clause 18 of the Christchurch City Council Traffic and Parking Bylaw 2017, that a Special Vehicle Lane for the use of southeastbound road users be installed on the southeast side of Dunbars Road commencing at a point approximately 23 metres north of its intersection with Balkwell Street and extending in a northwesterly direction for a distance of 51 metres.
3. Approves in accordance with Clause 18 of the Christchurch City Council Traffic and Parking Bylaw 2017, that a Special Vehicle Lane for the use of northwestbound road users be installed on the southwest side of Dunbars Road commencing at a point approximately 34 metres northwest of its intersection with Balkwell Street and extending in a northwesterly direction for a distance of 37 metres.
That the Waipuna Halswell-Hornby-Riccarton Community Board:
4. Receives the information in the Oaklands School Safety Improvements - Dunbars Road Signalised Crossing Report.
5. Notes that the decision in this report is assessed as medium significance based on the Christchurch City Council’s Significance and Engagement Policy.
6. Approves pursuant to Christchurch City Council Traffic and Parking Bylaw 2017 and Part 21 of the Local Government Act 1974 all kerb alignments, road surface treatments, and road markings on Dunbars Road, as detailed on Attachment A to the report on the meeting agenda.
7. Approves that in accordance with Clause 7 of the Christchurch City Council Traffic and Parking Bylaw 2017, that the stopping of vehicles be prohibited at all times:
a. On the northeast side of Dunbars Road, commencing at a point approximately 23 metres north of its intersection with Balkwell Street and extending in a northwesterly direction for a distance of 51 metres.
b. On the southwest side of Dunbars Road, commencing at a point approximately 34 metres northwest of its intersection with Balkwell Street and extending in a northwesterly direction for a distance of 37 metres.
8. Revokes any previous resolutions pertaining to traffic controls made pursuant to any bylaw to the extent that they are in conflict with the traffic controls described in resolutions 4 to 7 above.
9. Approves that these resolutions take effect when parking signage and/or road markings that evidence the restrictions described in 1 to 8 are in place (or removed in the case of revocations).
3. Executive Summary Te Whakarāpopoto Matua
3.1 Concerns have been raised around safety for people, particularly school children crossing Dunbars Road from the Aidanfield sub-division on the east side of the road to access Oaklands Te Kura o Ōwaka School.
3.2 It is proposed to install a signal-controlled crossing at this location with high-friction surfacing in advance of the crossing.
4. Background/Context Te Horopaki
4.1 Improving safety and accessibility on local roads in Christchurch is a priority for the Council.
4.1.1 There are a number of levels of service agreed as part of the Long-Term Plan 24-34 which are relevant to this decision, such as measuring: safety statistics for pedestrians and cyclists; and perceptions that Christchurch is a “walking friendly city”.
4.1.2 Providing safe infrastructure is a key tool for helping people get to where they are going safely, irrespective of their mode of travel.
4.2 Dunbars Road is classified as an urban connector in the NZTA-Waka Kotahi One Network Framework.
4.3 The seven-day average daily traffic volumes on Dunbars Road in the vicinity of the proposal for all traffic lanes is 8,450 vehicles (2022 count). This is split into 3,750 vehicles per day westbound and 4,700 vehicles per day eastbound. The percentage of heavy vehicles is 6.5%. A recent 2025 count, has highlighted an increase in traffic volumes on Dunbars Road with over 10,000 vehicles being recorded. As a growth area, and with a new connection at the Dunbars Road/Halswell Road being provided that will link with Sparks Road, traffic is likely to continue to increase.
4.4 The current posted speed limit is 50km/h. A speed count undertaken in 2022 showed that the 85th percentile speed (the speed at which 85% of people are driving) is 56.2 km/h for westbound traffic and 58.9 km/h for eastbound traffic.
4.5 During the morning peak hour, there is a consistent flow of traffic meaning that it can be difficult for children to assess suitable gaps in the traffic to cross the road. In addition vehicles are travelling over the posted speed limit, increasing the risk and severity of a crash.
4.6 A pedestrian count was undertaken on Wednesday 21 May, between the hours of 8am to 9am. It was a school day, and was blue sky, dry conditions with no rain. There was no traffic management in the area to change the normal operation of the road / crossing.
4.7 In total, 27 pedestrian movements were counted including 12 adults and 15 children (including high school students).
4.7.1 The majority of these movements were counted between the bus stop (south of Balkwell Street) and the first lamp post to the north.
4.7.2 Dunbars Road at this location was identified as an area that is difficult to cross by the children at Oaklands School and is considered a barrier for children walking to school.
4.7.3 As traffic volumes are likely to continue to increase due to residential growth and the connection to Sparks Road, it is likely to become more difficult to cross.
4.8 There have been no reported crashes in the past five-year period (2020-2024) in the location of the proposed crossing.
4.9 The following related memos/information were circulated to the meeting members:
|
Date |
Subject |
|
17/03/2025 |
Halswell Schools Package of Improvements (Attachment B) |
Options Considered Ngā Kōwhiringa Whaiwhakaaro
4.10 The following reasonably practicable options were considered and are assessed in this report:
4.10.1 Option 1 – Signal controlled crossing with high-friction surfacing in advance of the crossing.
4.10.2 Option 2 – Pedestrian island
4.10.3 Option 3 – Do nothing
4.11 The following options were considered but were not considered reasonably practicable:
4.11.1 Pedestrian (Zebra) Crossing. As per NZTA Guidance, this is because:
· Unless on a platform, or without other measures like kerb extensions and median refuge, zebra crossings do not improve pedestrian safety or may even decrease it. Vehicle speed is a critical factor for whether drivers yield to pedestrians. As vehicle speeds increase, the percentage of drivers who yield to pedestrians at a priority crossing decreases. Hence when zebra crossings are recommended, raised traffic calming devices to slow vehicles to safe system speeds are required.
· They can increase rear end crashes between vehicles; however, these tend to be low severity, subject to the speed of the vehicle.
Options Descriptions Ngā Kōwhiringa
4.12 Preferred Option: Signal controlled crossing with high friction surfacing
4.12.1 Option Description: Provide a signal-controlled crossing for people crossing Dunbars Road with high-friction surfacing in advance of the crossing.
4.12.2 Option Advantages
· Provides people crossing with a designated phase to cross, reducing uncertainty and potential conflicts with vehicles.
· Vehicles are required to stop when the pedestrian signal is active, ensuring a safer crossing environment compared to a refuge island, where pedestrians must judge gaps in traffic.
· These crossings are beneficial for visual and mobility impaired people, as they provide a dedicated phase for people to cross.
· High-friction surfacing in advance of the traffic signal-controlled crossing to enhance road safety and reduce crash risks. This is by:
o Improved Skid Resistance: High-friction surfaces provide better grip for vehicles, reducing the likelihood of skidding, especially in wet conditions.
o Shorter Stopping Distances: Vehicles approaching a red light can stop more effectively, preventing rear-end collisions.
o Enhanced Visibility: The textured and often coloured surface alerts drivers to an upcoming crossing, encouraging them to slow down.
o Pedestrian Safety: By reducing vehicle speeds and improving stopping ability, these surfaces can help to protect pedestrians at crossings.
4.12.3 Option Disadvantages
· Cost to Council
· Loss of approximately four car parking spaces.
4.13 Option 2 – Build out and pedestrian refuge island
4.13.1 Option Description: Pedestrian refuge island, as shown in Attachment C.
4.13.2 Option Advantages
· Provides a crossing point for people to cross Dunbars Road in two stages.
· Lower cost to Council.
4.13.3 Option Disadvantages
· The speed and volume of traffic on Dunbars Road will continue to make it difficult to cross the road, which would be similar to the concerns raised by school children crossing Halswell Junction Road outside Knights Stream School. Traffic is likely to continue to grow on Dunbars Road due to residential growth and the new connection to Sparks Road at the Dunbars Road/Halswell Road signal-controlled intersection.
· The width of the Dunbars Road is approximately 9m (kerb to edge of seal). As per option 1, it is not possible to accommodate the option without road widening. However, this option is likely to require more widening. At this location there are steep shoulders, an existing dish channel and a high crown. Road widening at this location would require road re-shaping to reduce the height of the centre of the road and the gradients of the shoulders. A pavement design would be required at detailed design.
· There is a risk around additional consents being required due to the amount of impermeable area that would need to be added to the swale. It would need to be determined if the swale would have sufficient capacity to carry the same or an additional amount of stormwater. Pipes and sumps maybe required for stormwater management.
· Currently the parking lane on the south side can block visibility of pedestrians waiting to cross the road, accommodating a pedestrian island would require additional parking to be removed (6 more than option 1) to provide the crossing sigh distance. A buildout would help address this and reduce the crossing distance by approximately 2.4 metres, but this leads to a significant increase in costs due to the amount of additional road widening that would be needed.
· This option has not been consulted on. If the board choose to proceed with this option, consultation and a road safety audit would need to undertaken prior to being brought back to the board for a final decision to proceed.
4.14 Option 3 – Do nothing
4.14.1 Option Description: Do not change the current road layout
4.14.2 Option Advantages
· No cost to Council
· No loss of on-street parking
4.14.3 Option Disadvantages
· Does not address the safety concerns raised
5. Financial Implications Ngā Hīraunga Rauemi
Capex/Opex Ngā Utu Whakahaere
|
|
Recommended Option |
Option 2 – Pedestrian island |
Option 3 – Do nothing |
|
Cost to Implement |
$525k |
$150k |
$0 |
|
Maintenance/Ongoing Costs |
Covered by existing maintenance contracts – traffic signals and road maintenance |
Covered by existing maintenance contracts |
Nil |
|
Funding Source |
50462 Minor Road Safety |
50462 Minor Road Safety |
Nil |
|
Funding Availability |
Funding available in the above-named budget. |
Funding available in the above-named budget. |
Nil |
|
Impact on Rates |
Nil |
Nil |
Nil |
5.1 The cost are high-level estimates and are not tendered prices.
5.2 In terms of the recommended option, due to the swale on the northern side of Dunbars Road, and in addressing the crossing over the old dish channel, there could be additional costs associated with stormwater management. A higher contingency has been allowed for in the estimated costs above.
6. Considerations Ngā Whai Whakaaro
Risks and Mitigations Ngā Mōrearea me ngā Whakamātautau
6.1 The proposal includes traffic safety measures that will reduce risk for all road users at this location.
Legal Considerations Ngā Hīraunga ā-Ture
6.2 Statutory and/or delegated authority to undertake proposals in the report:
6.2.1 Section 331 and 334 of the Local Government Act 1974 for controlling traffic by traffic signals. Section 8.5 of the Land Transport Rule - Traffic Control Devices: 2004, details the design, construction, installation, operation, and maintenance of traffic control devices. The Council has not sub-delegated this power.
6.2.2 The Community Boards have delegated authority from Council to exercise the delegations as set out in the Register of Delegations. The list of delegations for the Community Boards includes the resolution of stopping and traffic controls.
6.2.3 Part 1, Clause 7 of the Christchurch City Council Traffic and Parking Bylaw 2017 provides Council with the authority to install parking or stopping restrictions by resolution.
6.2.4 The installation of any signs and/or markings associated with traffic control devices must comply with the Land Transport Rule: Traffic Control Devices 2004.
6.3 Other Legal Implications:
6.3.1 There is no legal context, issue, or implication relevant to this decision.
Strategy and Policy Considerations Te Whai Kaupapa here
6.4 The required decision:
6.4.1 Aligns with the Christchurch City Council’s Strategic Framework and Community Outcomes. Improving the safety of our roads aligns with the Strategic Priorities and Community Outcomes, in particular to be an inclusive and equitable city; build trust and confidence by listening to and working with our residents; and providing safe crossing points for people who walk and cycle will contribute to a green, liveable city, where our neighbourhoods and communities are accessible and well-connected.
6.4.2 This project is assessed as medium significance based on the Christchurch City Council’s Significance and Engagement Policy. The level of significance was determined by the number of school communities and residents affected by the safety proposals in this rapidly growing suburb.
6.4.3 The recommended option is consistent with the Council’s Plans and Policies, in particular:
· LTP Activity Plan - Level of Service target to reduce the number of deaths or serious injuries (DSI) from all crashes by 40% in 2030.
· The changes made align with Goals 3, 5 and 6 in the Ōtautahi Christchurch Future Transport Strategy 2024–54.
· Improving safety on local roads is a priority for the Council.
6.5 Transport
6.5.1 Activity: Transport
· Level of Service: 10.0.6.1 Reduce the number of death and serious injury crashes on the local road network (DIA 1) - 4 less than previous FY
· Level of Service: 10.0.2 Increase the share of non-car modes in daily trips - >=37% of trips undertaken by non-car modes
· Level of Service: 10.0.6.2 Reduce the number of death and serious injury crashes on the local road network - Five year rolling average <100 crashes per year
· Level of Service: 10.5.1 Limit deaths and serious injury crashes per capita for cyclists and pedestrians - <=12 crashes per 100,000 residents
· Level of Service: 10.5.42 Increase the infrastructure provision for active and public modes - >= 625 kilometres (total combined length)
· Level of Service: 16.0.10 Maintain the perception (resident satisfaction) that Christchurch is a walking friendly city - >=85% resident satisfaction
Community Impacts and Views Ngā Mariu ā-Hāpori
6.6 Early engagement with Oaklands School started in March 2025, to understand issues related to pedestrian safety and access, and discuss proposed options.
6.7 Consultation on the proposals for roads around Oaklands School started on 27 March and ran until 28 April, as part of the wider engagement campaign ‘Safer Streets for Halswell', which included proposed safety measures on streets around all three Halswell schools.
6.8 Consultation details, including links to the project information shared on the Kōrero mai | Let’s Talk webpage were advertised via:
· An email was sent to 35 key stakeholders, including local schools, sports clubs, NZTA and emergency services.
· Leaflets letterbox dropped to properties directly impacted by proposed safety treatments on each street.
· The council Facebook page and 3 local community group pages, which reached over 13,685 people.
· On-street posters outside the school.
· Consultation flyers provided to schools to hand out.
· A Newsline story.
6.9 The Kōrero mai | Let’s Talk page had 1,362 views throughout the consultation period.
Summary of Submissions Ngā Tāpaetanga
6.10 Submissions on proposed signalised crossing on Dunbars Road were made by seven recognised organisations and 28 individuals. All submissions are available on the Kōrero mai webpage.
6.11 Organisations that submitted were Halswell Residents Association, Spokes Canterbury, Greater Ōtautahi, Waka Kotahi – NZTA, Hato Hone St John, FENZ, Canterbury/West Coast Automobile Association District Council and Living Streets Aotearoa. The organisations were largely in support of the proposed treatments.
6.12 Of those submitters, 78% (28) supported the proposal, 3% (1) somewhat supported and 8% (3) did not (three did not provide this information).
6.13 Reasons for supporting the proposal was the volume of traffic on the road and vehicles that travel at speed, making it very difficult for pedestrians to cross.
6.14 Those who did not agree with a signal-controlled crossing felt the numbers of pedestrians using it did not justify the cost of implementation and maintenance. A pedestrian island, barriers and narrowing the road would be better value for money than a signalised crossing.
6.15 Additional requests and suggestions were:
· Move the proposed crossing closer to the path from Eaglesome Avenue to mitigate any issues with buses accessing and exiting the bus stop or between Balkwell Street and Halswell Road where people are crossing the road.
· Include pedestrian warning signs near the crossing to increase driver awareness.
· Install variable speed signs and utilise them during school drop off and pick up hours.
· Consider a road renewal along Dunbars Road that supports slower speeds and includes space for a cycleway.
Additional comments
6.16 Submitters to ‘Safer Streets for Halswell’ were asked if they had any other comments. This analysis of feedback is included in all four reports related to the campaign.
6.17 Of the 188 submitters to ‘Safer Streets for Halswell’, 105 provided additional comments.
6.18 Common themes in the feedback were:
· That the proposed changes significantly improve safety for school children and those using active transport.
· Suggestions that other streets have crossings or safety treatments installed, such as Cobra Street, Balkwell Street, and Lancewood Drive.
6.19 The decision affects the following wards/Community Board areas:
6.19.1 Waipuna Halswell-Hornby-Riccarton Community Board.
Impact on Mana Whenua Ngā Whai Take Mana Whenua
6.20 The decision does not involve a significant decision in relation to ancestral land or a body of water or other elements of intrinsic value, therefore this decision does not specifically impact Mana Whenua, their culture, and traditions.
6.21 The decision does not involve a matter of interest to Mana Whenua and will not impact on our agreed partnership priorities with Ngā Papatipu Rūnanga.
Climate Change Impact Considerations Ngā Whai Whakaaro mā te Āhuarangi
6.22 The decisions in this report are likely to:
6.22.1 Contribute positively to adaptation to the impacts of climate change.
6.22.2 Contribute positively to emissions reductions.
6.23 The emission reductions associated with this project have not been estimated.
6.24 Improving the ability for people to walk, cycle, scoot and catch the bus are a key part of the Council’s emissions reduction efforts by providing a safe, low emission way for residents to move around the city.
6.25 Improving safety and making Dunbars Road feel safer would address some of the barriers to people making sustainable travel choices. Removing these barriers will lead to reductions in vehicle kilometres travelled and consequently emissions from transport.
7. Next Steps Ngā Mahinga ā-muri
Attachments Ngā Tāpirihanga
|
No. |
Title |
Reference |
Page |
|
a |
Dunbars Road Signalised Crossing |
25/1031007 |
|
|
b |
Memo - Halswell School Package of Improvements |
25/1031003 |
|
|
c |
Dunbars Road - Option 2 |
25/1270596 |
|
In addition to the attached documents, the following background information is available:
|
Document Name – Location / File Link |
|
Not applicable |
Signatories Ngā Kaiwaitohu
|
Author |
Gemma Dioni - Principal Advisor Transportation - Safety |
|
Approved By |
Stephen Wright - Manager Operations (Transport) Tony Richardson - Finance Business Partner Jacob Bradbury - Manager Planning & Delivery Transport |
|
12. Knights Stream School Safety Improvement - Signalised Crossing on Halswell Junction Road |
|
|
Reference Te Tohutoro: |
25/1397261 |
|
Responsible Officer(s) Te Pou Matua: |
Gemma Dioni, Principal Advisor - Transport |
|
Accountable ELT Member Pouwhakarae: |
Andrew Rutledge, General Manager Citizens and Community |
|
1. Waipuna Halswell-Hornby-Riccarton Community Board Consideration Te Whaiwhakaarotanga |
|
|
|
The Board took into consideration the deputation by Carina Duke on behalf of Living Streets Aotearoa. |
|
2. Waipuna Halswell-Hornby-Riccarton Community Board Recommendation to Council |
|
|
|
1. Approves in accordance with Section 8.5 of the Land Transport Rule – Traffic Control Devices: 2004 that a signalised roadway crossing be installed on Halswell Junction Road, located 38 metres north of its intersection with Albert Wills Avenue, and as detailed on Plan TG1495s2 dated 20/05/2025 included in Attachment A to the report on the meeting agenda. This signalised crossing is for use by the classes of road user as defined in Section 11.1A of the Land Transport (Road User) Rule: 2004. |
In addition to the attached documents, the following background information is available:
|
Document Name – Location / File Link |
|
Not applicable
|
Attachments Ngā Tāpirihanga
|
No. |
Report Title |
Reference |
Page |
|
Knights Stream School Safety Improvement - Signalised Crossing on Halswell Junction Road |
25/667120 |
139 |
|
No. |
Title |
Reference |
Page |
|
a ⇩ |
Halswell Junction Road Signalised Crossing |
25/990506 |
148 |
|
b ⇩ |
Memo - Halswell Schools Package of Improvements |
25/1031003 |
149 |
1. Purpose and Origin of the Report Te Pūtake Pūrongo
1.1 For the Waipuna Halswell-Hornby-Riccarton Community Board to approve safety improvements to a pedestrian crossing at Knights Stream Park on Halswell Junction Road and to make recommendations to Council for the items within the proposed design that rest with Council for decision making.
1.2 The report has been written in response to ongoing safety concerns at this location.
1.2.1 A parent, whose child was hit by a car on Halswell Junction Road, presented during Public Participation Te Huinga Tūmatanui at Council in June 2023, (Item 3.1.5). The main concerns were around safety and the speed of vehicles on Halswell Junction Road. The parent requested measures to provide for a safer crossing for children travelling to Mingimingi Hautoa Knights Stream School and the wider community wanting to access the rugby fields and skatepark.
1.2.2 Staff also received a request from a representative of Kainga Ora about the provision of safer and direct access to the school, when constructing units on the northeast side of Halswell Junction Road.
1.3 There is an existing traffic island on Halswell Junction Road to support crossing movements to the school. However, on-site observations have identified that there are very few gaps in traffic for children to cross the road due to the traffic volumes and speed of traffic on Halswell Junction Road.
1.4 The recommendation is to install a traffic signal-controlled crossing, with high-friction surfacing in advance of the crossing as shown in Attachment A.
2. Officer Recommendations Ngā Tūtohu
That the Waipuna Halswell-Hornby-Riccarton Community Board recommends that the Council:
1. Approves in accordance with Section 8.5 of the Land Transport Rule – Traffic Control Devices: 2004 that a signalised roadway crossing be installed on Halswell Junction Road, located 38 metres north of its intersection with Albert Wills Avenue, and as detailed on Plan TG1495s2 dated 20/05/2025 included in Attachment A to the report on the meeting agenda. This signalised crossing is for use by the classes of road user as defined in Section 11.1A of the Land Transport (Road User) Rule: 2004.
That the Waipuna Halswell-Hornby-Riccarton Community Board:
2. Receives the information in the Knights Stream School Safety Improvement - Signalised Crossing on Halswell Junction Road Report.
3. Notes that the decision in this report is assessed as medium significance based on the Christchurch City Council’s Significance and Engagement Policy.
4. Approves pursuant to Christchurch City Council Traffic and Parking Bylaw 2017 and Part 21 of the Local Government Act 1974 all kerb alignments, road surface treatments, traffic islands and road markings on Halswell Junction Road, as detailed on Attachment A to the report on the meeting agenda..
5. Approves that in accordance with Clause 21 of the Christchurch City Council Traffic & Parking Bylaw 2017, that the path on the southwest side of Halswell Junction Road, commencing at a point 28 metres north of its intersection with Albert Wills Avenue and extending in a northwesterly direction for a distance of 23 metres be resolved as a Shared Path and in accordance with section 11.4 of the Land Transport Act - Traffic Control Devices Rules: 2004. This Shared Path is for the use by the classes of road user only as defined in Section 11.1A of the Land Transport (Road User) Rule: 2004.
6. Approves that in accordance with Clause 21 of the Christchurch City Council Traffic & Parking Bylaw 2017, that the path on the northeast side of Halswell Junction Road, commencing at a point 32 metres north of its intersection with Albert Wills Avenue and extending in a northwesterly direction for a distance of 14 metres be resolved as a Shared Path and in accordance with section 11.4 of the Land Transport Act - Traffic Control Devices Rules: 2004. This Shared Path is for the use by the classes of road user only as defined in Section 11.1A of the Land Transport (Road User) Rule: 2004.
7. Approves that in accordance with Clause 7 of the Christchurch City Council Traffic and Parking Bylaw 2017, that the stopping of vehicles be prohibited at all times:
a. On the southwest side of Halswell Junction Road, commencing at a point approximately 19 metres north of its intersection with Albert Wills Avenue and extending in a northerly direction for a distance of 42 metres.
8. Revokes any previous resolutions pertaining to traffic controls made pursuant to any bylaw to the extent that they are in conflict with the traffic controls described in resolutions 4 to 7 above.
9. Approves that these resolutions take effect when parking signage and/or road markings that evidence the restrictions described in 1 to 8 are in place (or removed in the case of revocations).
3. Executive Summary Te Whakarāpopoto Matua
3.1 Concerns have been raised around safety for people crossing Halswell Junction Road from the Copper Ridge sub-division on the east side of the road to access Mingimingi Hautoa Knights Stream School, the park and the skate park.
3.2 It is proposed to install a signal-controlled crossing to replace the current pedestrian refuge island.
4. Background/Context Te Horopaki
4.1 Improving safety and accessibility on local roads in Christchurch is a priority for the Council.
4.1.1 There are a number of levels of service agreed as part of the Long-Term Plan 24-34 which are relevant to this decision, such as measuring: safety statistics for pedestrians and cyclists; and perceptions that Christchurch is a “walking friendly city”.
4.1.2 Providing safe infrastructure is a key tool for helping people get to where they are going safely, irrespective of their mode of travel.
4.2 Halswell Junction Road is classified as an urban connector in the NZTA-Waka Kotahi One Network Framework. There is an existing pedestrian island for people to use to cross the road.
4.3 A pedestrian count was undertaken on Wednesday 21 May 2025, between the hours of 8am – 9am. It was a school day, and was blue sky, dry conditions with no rain. There was no traffic Management in the area to change the normal operation of the road / crossing.
4.4 There were 50 people crossing on Halswell Junction Road, at or close to the existing pedestrian refuge crossing, as shown below:

Pedestrians observed crossing Halswell Junction Road
4.6 During the morning peak hour, there is a consistent flow of traffic meaning that it can be difficult for children to assess suitable gaps in the traffic to cross the road.
4.7 The current posted speed limit is 50km/h. A speed count undertaken in 2024 showed that the 85th percentile speed (the speed at which 85% of people are driving) is 57.1 km/h for northbound traffic and 56.3 km/h for southbound traffic.
4.8 This crossing location was due to have a 30 km/h variable speed limit installed through the approved Safe Speed Neighbourhood Plan, which was signed off under the Setting of Speed limits 2022 Rule. This can no longer proceed under the Setting of Speed Limits Rule 2024. Under the new Rule there is no ability to install a variable speed limit along Halswell Junction Road as it is outside the extents allowed for a school variable speed limit.
4.9 There have been two reported crashes in the past five-year period (2020-2024). One crash involved a child on a bicycle crossing at the island on the way to school and being hit by a vehicle, this crash resulted in a minor injury. The second crash involved a driver travelling southbound and leaving the road, crashing into a fence.
4.10 The following related memos/information were circulated to the meeting members:
|
Date |
Subject |
|
17/03/2025 |
Halswell Schools Package of Improvements (Attachment B) |
Options Considered Ngā Kōwhiringa Whaiwhakaaro
4.11 The following reasonably practicable options were considered and are assessed in this report:
4.11.1 Option 1 – Signal controlled crossing with high-friction surfacing in advance of the crossing
4.11.2 Option 2 – Do nothing
4.12 The following options were considered but were not considered reasonably practicable:
4.12.1 Pedestrian (Zebra) Crossing. As per NZTA Guidance, this is because:
· Unless on a platform, or without other measures like kerb extensions and median refuge, zebra crossings do not improve pedestrian safety or may even decrease it. Vehicle speed is a critical factor for whether drivers yield to pedestrians. As vehicle speeds increase, the percentage of drivers who yield to pedestrians at a priority crossing decreases. Hence when zebra crossings are recommended, raised traffic calming devices to slow vehicles to safe system speeds are required.
· They can increase rear end crashes between vehicles; however, these tend to be low severity, subject to the speed of the vehicle.
Options Descriptions Ngā Kōwhiringa
4.13 Preferred Option: Signal-controlled crossing
4.13.1 Option Description: Provide a signal-controlled crossing for people crossing Halswell Junction Road with high-friction surfacing in advance of the crossing.
4.13.2 Option Advantages
· Vehicles are required to stop when the pedestrian signal is active, ensuring a safer crossing environment compared to a refuge island, where pedestrians must judge gaps in traffic.
· These crossings are beneficial for visual and mobility impaired people, as they provide a dedicated phase for people to cross.
· Addresses the safety concerns raised by the residents and Kainga Ora.
· High-friction surfacing in advance of the traffic signal-controlled crossing to enhance road safety and reduce crash risks. This is by:
o Improved Skid Resistance: High-friction surfaces provide better grip for vehicles, reducing the likelihood of skidding, especially in wet conditions.
o Shorter Stopping Distances: Vehicles approaching a red light can stop more effectively, preventing rear-end collisions.
o Enhanced Visibility: The textured and often coloured surface alerts drivers to an upcoming crossing, encouraging them to slow down.
o Pedestrian Safety: By reducing vehicle speeds and improving stopping ability, these surfaces can help to protect pedestrians at crossings.
4.13.3 Option Disadvantages
4.14 Option 2 – Do nothing
4.14.1 Option Description: Retain the existing pedestrian island
4.14.2 Option Advantages
4.14.3 Option Disadvantages
· Does not address the safety concerns raised by the residents and Kainga Ora.
5. Financial Implications Ngā Hīraunga Rauemi
Capex/Opex Ngā Utu Whakahaere
|
|
Recommended Option |
Option 2 – Do Nothing |
|
Cost to Implement |
$475k |
$0 |
|
Maintenance/Ongoing Costs |
Covered by existing maintenance contracts |
Nil |
|
Funding Source |
50462 Minor Road Safety |
Nil |
|
Funding Availability |
Funding available in the above-named budget. |
Nil |
|
Impact on Rates |
Nil |
Nil |
5.1 The cost are high-level estimates and are not tendered prices.
5.2 Ducting for the traffic signals was installed in 2024 (cost approximately $15k in addition to Traffic Management costs), when the CCC Maintenance Team was undertaking work along this corridor. This has reduced the cost to the project, as this work is already complete. Further, it is proposed to retain the existing alignments of kerb and channel to reduce any significant costs to address stormwater management.
5.3 This project has been brought forward in the minor Road Safety Programme from the 2029 Financial Year, due to the high risk nature of the site with volumes and speeds on Halswell Junction Road creating a barrier between the new growth areas and residential development and the local school and pre-schools. This will result in less funding to deliver similar projects in Financial Year 2029. It is anticipated that savings could be identified through detailed design and procurement strategy over the Halswell Schools package.
6. Considerations Ngā Whai Whakaaro
Risks and Mitigations Ngā Mōrearea me ngā Whakamātautau
Legal Considerations Ngā Hīraunga ā-Ture
6.2 Statutory and/or delegated authority to undertake proposals in the report:
6.2.2 The Community Boards have delegated authority from Council to exercise the delegations as set out in the Register of Delegations. The list of delegations for the Community Boards includes the resolution of stopping and traffic controls.
6.2.3 Part 1, Clause 7 of the Christchurch City Council Traffic and Parking Bylaw 2017 provides Council with the authority to install parking or stopping restrictions by resolution.
6.2.4 The installation of any signs and/or markings associated with traffic control devices must comply with the Land Transport Rule: Traffic Control Devices 2004.
6.3 Other Legal Implications:
6.3.1 There is no legal context, issue, or implication relevant to this decision.
Strategy and Policy Considerations Te Whai Kaupapa here
6.4 The required decision:
6.4.1 Aligns with the Christchurch City Council’s Strategic Framework and Community Outcomes. Improving the safety of our roads aligns with the Strategic Priorities and Community Outcomes, in particular to be an inclusive and equitable city; build trust and confidence by listening to and working with our residents; and providing safe crossing points for people who walk and cycle will contribute to a green, liveable city, where our neighbourhoods and communities are accessible and well-connected.
6.4.2 This project is assessed as medium significance based on the Christchurch City Council’s Significance and Engagement Policy. The level of significance was determined by the number of school communities and residents affected by the safety proposals in this rapidly growing suburb.
6.4.3 The recommended option is consistent with the Council’s Plans and Policies, in particular:
· LTP Activity Plan - Level of Service target to reduce the number of deaths or serious injuries (DSI) from all crashes by 40% in 2030.
· The changes made align with Goals 3, 5 and 6 in the Ōtautahi Christchurch Future Transport Strategy 2024–54.
· Improving safety on local roads is a priority for the Council.
6.5 This report supports the Council's Long Term Plan (2024 - 2034):
6.6 Transport
6.6.1 Activity: Transport
· Level of Service: 10.0.6.1 Reduce the number of death and serious injury crashes on the local road network (DIA 1) - 4 less than previous FY
· Level of Service: 10.0.6.2 Reduce the number of death and serious injury crashes on the local road network - Five year rolling average <100 crashes per year
· Level of Service: 10.5.1 Limit deaths and serious injury crashes per capita for cyclists and pedestrians - <=12 crashes per 100,000 residents
· Level of Service: 16.0.10 Maintain the perception (resident satisfaction) that Christchurch is a walking friendly city - >=85% resident satisfaction
· Level of Service: 10.0.2 Increase the share of non-car modes in daily trips - >=37% of trips undertaken by non-car modes
· Level of Service: 10.5.42 Increase the infrastructure provision for active and public modes - >= 625 kilometres (total combined length)
Community Impacts and Views Ngā Mariu ā-Hāpori
6.7 Early engagement with Knight Stream School started in March to understand issues related to pedestrian safety access and discuss proposed options.
6.8 Consultation on the proposal for Halswell Junction Road started on 27 March and ran until 28 April, as part of the wider engagement campaign ‘Safer Streets for Halswell', which included proposed safety measures on streets around all three Halswell schools.
6.9 Consultation details, including links to the project information shared on the Kōrero mai | Let’s Talk webpage was advertised via:
· An email was sent to 35 key stakeholders, including local schools, sports clubs, NZTA and emergency services.
· Leaflets letterbox dropped to properties directly impacted by proposed safety treatments on each street.
· The council Facebook page and 3 local community group pages, which reached over 13,685 people.
· On-street posters outside the school.
· Consultation flyers provided to schools to hand out.
· A Newsline story.
6.10 The Kōrero mai | Let’s Talk page had 1,362 views throughout the consultation period.
Summary of Submissions Ngā Tāpaetanga
6.11 Submissions about the proposal for Halswell Junction Road were made by seven organisations and 16 individuals. All submissions are available on the Kōrero mai webpage.
6.12 Organisations that submitted were Halswell Residents Association, Spokes Canterbury, Greater Ōtautahi, Waka Kotahi – NZTA, Hato Hone St John, FENZ, Canterbury/West Coast Automobile Association District Council and Living Streets Aotearoa. The organisations were largely in support of the proposed signalised crossing.
6.13 Of the 23 submitters, 74% (17) supported the proposal, 13% (3) somewhat supported the proposal, and 9% (2) did not (one did not provide this information).
6.14 Reasons for supporting the proposal included:
· The volume of traffic on the road makes it hard to cross.
· This road is used by heavy vehicles, which cannot stop as quickly as cars.
· A signalised crossing is much safer for children and pedestrians than other crossing types.
6.15 Reasons for not supporting the proposal included:
· Educating children to cross existing roads safely should be prioritised, and it is their behaviour crossing roads that is dangerous.
· The existing islands are sufficient for the number of pedestrians using it.
Additional comments
6.16 Submitters to ‘Safer Streets for Halswell’ were asked if they had any other comments. This analysis of feedback is included in all four reports related to the campaign.
6.17 Of the 188 submitters to ‘Safer Streets for Halswell’, 105 provided additional comments.
6.18 Common themes in the feedback were:
· That the proposed changes significantly improve safety for school children and those using active transport.
· Requesting a signalised pedestrian crossing on Halswell Junction Road, for people to access New World Supermarket, shopping area, bus stops and fitness classes in the Halswell area. The road currently creates a barrier.
6.19 The decision affects the following wards/Community Board areas:
6.19.1 Waipuna Halswell-Hornby-Riccarton Community Board.
Impact on Mana Whenua Ngā Whai Take Mana Whenua
6.20 The decision does not involve a significant decision in relation to ancestral land or a body of water or other elements of intrinsic value, therefore this decision does not specifically impact Mana Whenua, their culture, and traditions.
6.21 The decision does not involve a matter of interest to Mana Whenua and will not impact on our agreed partnership priorities with Ngā Papatipu Rūnanga.
Climate Change Impact Considerations Ngā Whai Whakaaro mā te Āhuarangi
6.22 The decisions in this report are likely to:
6.22.1 Contribute positively to adaptation to the impacts of climate change.
6.22.2 Contribute positively to emissions reductions.
6.23 The emission reductions associated with this project have not been estimated.
6.24 Improving the ability for people to walk, cycle, scoot and catch the bus are a key part of the Council’s emissions reduction efforts by providing a safe, low emission way for residents to move around the city.
6.25 Improving safety and making Halswell Junction Road feel safer would address some of the barriers to people making sustainable travel choices. Removing these barriers will lead to reductions in vehicle kilometres travelled and consequently emissions from transport.
7. Next Steps Ngā Mahinga ā-muri
7.1 If the Council agrees to the recommendations in this report, the next step will be to complete detailed design and tendering prior to construction.
Attachments Ngā Tāpirihanga
|
No. |
Title |
Reference |
Page |
|
a |
Halswell Junction Road Signalised Crossing |
25/990506 |
|
|
b |
Memo - Halswell Schools Package of Improvements |
25/1031003 |
|
In addition to the attached documents, the following background information is available:
|
Document Name – Location / File Link |
|
Not applicable |
Signatories Ngā Kaiwaitohu
|
Author |
Gemma Dioni - Principal Advisor Transportation - Safety |
|
Approved By |
Stephen Wright - Manager Operations (Transport) Tony Richardson - Finance Business Partner Jacob Bradbury - Manager Planning & Delivery Transport |
|
13. Barrington/Frankleigh/Milton Intersection Improvements |
|
|
Reference Te Tohutoro: |
25/1411695 |
|
Responsible Officer(s) Te Pou Matua: |
Barry Woodland, Property Consultant, Property Consultancy; Jon King, Project Manager, Wastewater Delivery |
|
Accountable ELT Member Pouwhakarae: |
Brent Smith, General Manager City Infrastructure |
|
2. Waihoro Spreydon-Cashmere-Heathcote Community Board Recommendation to Council |
|
|
|
1. In accordance with Clause 18 of the Christchurch City Council Traffic and Parking Bylaw 2017, that a Special Vehicle Lane for the use of northwestbound road users as defined in Section 11.1A of the Land Transport (Road User) Rule: 2004, excepting pedestrians and riders of mobility devices, be installed on the southwest side of Barrington Street commencing at its intersection with Frankleigh Street and extending in a northwesterly direction for a distance of 25 metres. 2. In accordance with Clause 18 of the Christchurch City Council Traffic and Parking Bylaw 2017, that a Special Vehicle Lane for the use of southeastbound road users as defined in Section 11.1A of the Land Transport (Road User) Rule: 2004, excepting pedestrians and riders of mobility devices, be installed on the northeast side of Barrington Street commencing at its intersection with Milton Street and extending in a southeasterly direction for a distance of 20 metres. |
In addition to the attached documents, the following background information is available:
|
Document Name – Location / File Link |
|
Not applicable
|
Attachments Ngā Tāpirihanga
|
No. |
Report Title |
Reference |
Page |
|
Barrington/Frankleigh/Milton Intersection Improvements |
25/1135548 |
164 |
|
No. |
Title |
Reference |
Page |
|
a ⇩ |
Barrington/Frankleigh/Milton - For Approval Plan |
25/1174479 |
169 |
|
b ⇩ |
Milton Street Corridor - Memo to the Community Board |
25/1174851 |
170 |
|
Reference Te Tohutoro: |
25/1135548 |
|
Responsible Officer(s) Te Pou Matua: |
Gemma Dioni, Principal Advisor – Transportation Safety |
|
Accountable ELT Member Pouwhakarae: |
Brent Smith, General Manager City Infrastructure |
1. Purpose and Origin of the Report Te Pūtake Pūrongo
1.1 For the Waihoro Spreydon-Cashmere-Heathcote Community Board to consider improvements at the Barrington/Frankleigh/Milton intersection.
1.2 The report has been prepared in response to upgrades being undertaken at the intersection to renew the traffic signals. Orion has been working in the area since late April this year, installing a new underground 66kV power cable that will run between the Milton Substation and the Halswell Substation on Sparks Road.
1.3 Staff identified an opportunity to make essential upgrades at this intersection during this time, to make the most of the traffic management in the area, and to reduce disruption to the people who live in or travel through this area.
1.4 The essential work includes a full upgrade of the traffic signals at this intersection including underground cables, new signal poles and lanterns, as critical assets are at the end of their working life and in need of replacement. The additional improvements include implementing tactile pavers and additional road marking.
2. Officer Recommendations Ngā Tūtohu
1. That the Waihoro Spreydon-Cashmere-Heathcote Community Board recommends that the Council:
2. In accordance with Clause 18 of the Christchurch City Council Traffic and Parking Bylaw 2017, that a Special Vehicle Lane for the use of northwestbound road users as defined in Section 11.1A of the Land Transport (Road User) Rule: 2004, excepting pedestrians and riders of mobility devices, be installed on the southwest side of Barrington Street commencing at its intersection with Frankleigh Street and extending in a northwesterly direction for a distance of 25 metres.
3. In accordance with Clause 18 of the Christchurch City Council Traffic and Parking Bylaw 2017, that a Special Vehicle Lane for the use of southeastbound road users as defined in Section 11.1A of the Land Transport (Road User) Rule: 2004, excepting pedestrians and riders of mobility devices, be installed on the northeast side of Barrington Street commencing at its intersection with Milton Street and extending in a southeasterly direction for a distance of 20 metres.
That the Waihoro Spreydon-Cashmere-Heathcote Community Board:
4. Receives the information in the Barrington/Frankleigh/Milton Intersection Improvements Report.
5. Notes that the decision in this report is assessed as low significance based on the Christchurch City Council’s Significance and Engagement Policy.
6. Approves pursuant to Section 331 and 334 of the Local Government Act 1974 all kerb alignments and road markings at the intersection of Barrington Street, Frankleigh Street and Milton Street as detailed in Attachment A of this report (plan TG151620, dated 11/06/2025).
3. Background/Context Te Horopaki
3.1 A full upgrade of the traffic signals is required at this site as critical assets are at the end of their working life. There is therefore an opportunity to include improvements as part of the work being undertaken by Orion Waitaha Canterbury's lines company, while they are working on Milton Street. This work is adding strength and resilience to the electricity network.
3.2 The traffic signals at this intersection are at the end of their service life and need to be replaced. As part of the full upgrade, staff will introduce pedestrian protection. In addition, it is proposed to make the intersection safer by:
3.2.1 Implementing tactile paving.
3.2.2 Implementing hook turn boxes for people on bicycles.
3.2.3 Implementing small sections of cycle lane on the intersection departures of Barrington Street (north) and Barrington Street (south). As well as improving the extent of coloured surfacing on existing sections.
3.3 The following related memos/information were circulated to the meeting members:
|
Date |
Subject |
|
16/05/2025 |
Milton/Selwyn & Barrington/Frankleigh/Milton Intersections (Attachment B) |
Options Considered Ngā Kōwhiringa Whaiwhakaaro
3.4 The following reasonably practicable options were considered and are assessed in this report:
3.4.1 Proposed (preferred) option
3.4.2 Option 2 – do minimum
Options Descriptions Ngā Kōwhiringa
3.5 Preferred Option: Make improvements as part of the signal renewals project
3.5.1 Option Description: Implement improvements for safety while undertaking the signal renewal project.
3.5.2 Option Advantages
· Improves crossings for people walking, particularly people who are low/blind vision or people who need more time to cross the road.
· Completing this work when Orion are working on this corridor will save costs for Council if undertaken together.
· Improves facilities for people cycling by introducing hook turn boxes and additional sections of cycle lane. As well as improving the extent of coloured surfacing on existing sections.
3.5.3 Option Disadvantages
· Additional costs for road marking when completing the traffic signal renewals.
3.6 Option two: Do minimum.
3.6.1 Option Description: Provide no changes for people walking and cycling while completing the signals renewal.
3.6.2 Option Advantages
· No additional costs to the project for road marking and tactile pavers.
3.6.3 Option Disadvantages
· Does not achieve any benefits for people walking and crossing the road.
4. Financial Implications Ngā Hīraunga Rauemi
Capex/Opex Ngā Utu Whakahaere
|
|
Recommended Option |
Option 2 – Do minimum |
|
Cost to Implement |
$550k |
$525k |
|
Maintenance/Ongoing Costs |
To be covered under the roading maintenance and traffic signals maintenance contract. Would reduce the cost of maintenance in the medium-term due to new assets being provided. |
To be covered under the roading maintenance and traffic signals maintenance contract. Would reduce the cost of maintenance in the medium-term due to new assets being provided. |
|
Funding Source |
#37293 Delivery Package - Traffic Signals Renewals |
#37293 Delivery Package - Traffic Signals Renewals |
|
Funding Availability |
Funding available in the above-named budget. |
Funding available in the above-named budget. |
|
Impact on Rates |
None |
None |
4.1 The cost are high-level estimates and are not tendered prices.
4.2 The traffic signals require renewal at this site, as the cables are at the end of their working life. As part of the traffic signal renewal, it is proposed to undertake further improvements.
5. Considerations Ngā Whai Whakaaro
Risks and Mitigations Ngā Mōrearea me ngā Whakamātautau
5.1 There is a risk that people may continue to feel unsafe while crossing if the proposed changes are not approved. Completing this work alongside the traffic signal renewal project reduces cost and risk to Council and impact on the local community.
Legal Considerations Ngā Hīraunga ā-Ture
5.2 Statutory and/or delegated authority to undertake proposals in the report:
Local Government Act 1974
5.2.1 Section 331 provides authority to approve concept plans for forming or upgrading footpath, kerbs and channels.
5.2.2 The installation of any signs and/or markings associated with traffic control devices must comply with the Land Transport Rule: Traffic Control Devices 2004.
5.3 Other Legal Implications:
5.3.1 There is no other legal context, issue, or implication relevant to this decision.
5.3.2 This specific report has not been reviewed and approved by the Legal Services Unit however the report has been written using a general approach previously approved of by the Legal Services Unit, and the recommendations are consistent with the policy and legislative framework outlined in this report.
Strategy and Policy Considerations Te Whai Kaupapa here
5.4 The required decision:
5.4.1 Aligns with the Christchurch City Council’s Strategic Framework and Community Outcomes. Improving the safety of our roads aligns with the Strategic Priorities and Community Outcomes, in particular to be an inclusive and equitable city; build trust and confidence by listening to and working with our residents; and providing safe crossing points for people who walk and improved cycle infrastructure, will contribute to a green, liveable city, where our neighbourhoods and communities are accessible and well-connected.
5.4.2 Is assessed as low significance based on the Christchurch City Council’s Significance and Engagement Policy. The level of significance was determined by the low level of impact and low number of people affected by the recommended decision.
5.4.3 The recommended option is consistent with the Council’s Plans and Policies, in particular:
· LTP Activity Plan - Level of Service target to reduce the number of deaths or serious injuries (DSI) from all crashes by 40% in 2030.
· The changes made align with the safe and healthy streets for everyone goal in the draft Ōtautahi Christchurch Future Transport Strategy 2024-2054.
· Improving safety on local roads is a priority for the Council.
5.5 This report supports the Council's Long Term Plan (2024 - 2034):
5.5.1 Transport
5.5.2 Activity: Transport
· Level of Service: 10.0.6.1 Reduce the number of death and serious injury crashes on the local road network (DIA 1) - 4 less than previous FY
· Level of Service: 10.0.6.2 Reduce the number of death and serious injury crashes on the local road network - Five year rolling average <100 crashes per year
· Level of Service: 10.5.1 Limit deaths and serious injury crashes per capita for cyclists and pedestrians - <=12 crashes per 100,000 residents
Community Impacts and Views Ngā Mariu ā-Hāpori
5.6 Due to the very minor nature of improvements at the intersection, consultation has not been undertaken.
5.7 The decision affects the following Community Board areas:
5.7.1 Waihoro Spreydon-Cashmere-Heathcote
Impact on Mana Whenua Ngā Whai Take Mana Whenua
5.8 The decision does not involve a significant decision concerning ancestral land or a body of water or other elements of intrinsic value, therefore this decision does not specifically impact Mana Whenua, their culture and traditions.
5.9 The decision does not involve a matter of interest to Mana Whenua and will not impact on our agreed partnership priorities with Ngā Papatipu Rūnanga.
Climate Change Impact Considerations Ngā Whai Whakaaro mā te Āhuarangi
5.10 The proposals in this report are unlikely to contribute significantly to adaptation to the impacts of climate change or emissions reductions.
5.11 This is a minor proposal that is principally intended to improve accessibility and safety for people crossing and cycling through the intersection.
6. Next Steps Ngā Mahinga ā-muri
6.1 If approved, staff will proceed with construction.
Attachments Ngā Tāpirihanga
|
No. |
Title |
Reference |
Page |
|
a |
Barrington/Frankleigh/Milton - For Approval Plan |
25/1174479 |
|
|
b |
Milton Street Corridor - Memo to the Community Board |
25/1174851 |
|
In addition to the attached documents, the following background information is available:
|
Document Name – Location / File Link |
|
Not applicable
|
Signatories Ngā Kaiwaitohu
|
Author |
Gemma Dioni - Principal Advisor Transportation - Safety |
|
Approved By |
Lachlan Beban - Principal Advisor Transportation Signals Stephen Wright - Manager Operations (Transport) |
|
14. Spreydon, Somerfield, Waltham, Beckenham CRAF - Selwyn Street pedestrian and cycle safety improvements |
|
|
Reference Te Tohutoro: |
25/1431811 |
|
Responsible Officer(s) Te Pou Matua: |
Ann
Tomlinson, Project Manager |
|
Accountable ELT Member Pouwhakarae: |
Brent Smith, General Manager City Infrastructure |
|
2. Waihoro Spreydon-Cashmere-Heathcote Community Board Recommendation to Council |
|
|
|
1. Approves in accordance with Clause 18 of the Christchurch City Council Traffic & Parking Bylaw 2017 for Plan TG151619, dated 05/06/2025 as shown in Attachment C of the agenda report: a. That a Special Vehicle Lane (cycle lane) be installed on the north-east side of Selwyn Street, commencing at its intersection with Milton Street and extending in a north-westerly direction for a distance of 36 metres. b. That a Special Vehicle Lane (cycle lane) be installed on the south-west side of Selwyn Street, commencing at its intersection with Milton Street and extending in a south-easterly direction for a distance of 34 metres. |
|
3. Officer Recommendations Ngā Tūtohu |
|
|
|
That the Waihoro Spreydon-Cashmere-Heathcote Community Board: 1. Receives the information in the Spreydon, Somerfield, Waltham, Beckenham CRAF - Selwyn Street pedestrian and cycle safety improvements Report. 2. Notes that the decision in this report is assessed as low significance based on the Christchurch City Council’s Significance and Engagement Policy. 3. Revokes any previous resolutions pertaining to traffic controls made pursuant to any bylaw to the extent that they are in conflict with the parking or stopping restrictions described in resolutions 4 to 13 below. 4. Approves the design, including kerb alignments, road surface treatments, raised pedestrian crossing, pedestrian islands, pedestrian cut-downs, resurfacing footpaths, tactile pavers and road markings as detailed in the following plans and attached to this report as Attachments A, B and C. 5. Approves, pursuant to Clause 7 of the Christchurch City Council Traffic and Parking Bylaw 2017 for Plan 60720368-SHT-GE-9006, dated 18/12/2024 and attached to this report as Attachment A: a. That the parking of all vehicles be restricted to a maximum period of 3 minutes on the north-east side of Selwyn Street, commencing at a point 111 metres south-east of its intersection with Bletsoe Avenue and extending in a south-easterly direction for a distance of 26.5 metres. This restriction is to apply from 8am-9am, and from 2:30-3:30pm, on school days only. b. That the stopping of vehicles be prohibited at any time on the north-east side of Selwyn Street, commencing at a point 137.5 metres south-east of its intersection with Bletsoe Avenue and extending in a south-easterly direction for a distance of 12 metres. c. That a Bus Stop be installed, on the north-east side of Selwyn Street, commencing at a point 149.5 metres south-east of its intersection with Bletsoe Avenue and extending in a south-easterly direction for a distance of 30 metres. d. That the stopping of vehicles be prohibited at any time on the north-east side of Selwyn Street, commencing at a point 179.5 metres south-east of its intersection with Bletsoe Avenue and extending in a south-easterly direction for a distance of 38 metres. e. That the stopping of vehicles be prohibited at any time on the south-west side of Selwyn Street, commencing at a point 44 metres north-west of its intersection with Dobson Street and extending in a north-westerly direction to its intersection with Cheviot Street. f. That the stopping of vehicles be prohibited at any time on the south-west side of Selwyn Street, commencing at its intersection with Cheviot Street and extending in a north-westerly direction for a distance of 6 metres. g. That a Bus Stop be installed, on the south-west side of Selwyn Street, commencing at a point 6 metres north-west of its intersection with Cheviot Street and extending in a north-westerly direction for a distance of 15 metres. h. That the stopping of vehicles be prohibited at any time on the south-west side of Selwyn Street, commencing at a point 21 metres north-west of its intersection with Cheviot Street and extending in a north-westerly direction for a distance of 7 metres. Pedestrian Crossing 6. Approves that in accordance with Section 8.2 of the Land Transport Rule – Traffic Control Devices: 2004, that a Pedestrian Crossing be installed on Selwyn Street, located 66.5 metres northwest of its intersection with Dobson Street, and as detailed on plan 60720368-SHT-GE-9006, dated 18/12/2024 and attached to this report as Attachment A. School Patrol 7. Approves that pursuant to Section 8.3(1) of The Land Transport Rule- Traffic Control Devices: 2004, and the Local Government Act 1974, The Christchurch City Council hereby authorises the Board of Trustees of Christchurch South Intermediate School, to appoint the appropriately trained persons to act as school patrols at the pedestrian crossing (zebra crossing) on Selwyn Street, located 66.5 metres northwest of its intersection with Dobson Street. Selwyn Street – Roker Street to Somerfield Street 8. Approves, pursuant to Clause 7 of the Christchurch City Council Traffic and Parking Bylaw 2017 for Plan 60720368-SHT-GE-9009, dated 19/12/2024 as shown in Attachment B: a. That the stopping of vehicles be prohibited at any time on the northeast side of Selwyn Street, commencing at its intersection with Roker Street and extending in a south-easterly direction for a distance of 27.5 metres. b. That the stopping of vehicles be prohibited at any time on the southwest side of Selwyn Street, commencing at its intersection with Roker Street and extending in a south-easterly direction for a distance of 36.5 metres. 9. Approves, pursuant to Clause 7 of the Christchurch City Council Traffic and Parking Bylaw 2017 for Plan 60720368-SHT-GE-9010, dated 19/12/2024 as shown in Attachment B: a. That the stopping of vehicles be prohibited at any time on the northeast side of Selwyn Street, commencing at a point 53 metres south-east of its intersection with Penrith Avenue and extending in a south-easterly direction for a distance of 15 metres. b. That the stopping of vehicles be prohibited at any time on the northeast side of Selwyn Street, commencing at a point 90 metres south-east of its intersection with Penrith Avenue and extending in a south-easterly direction for a distance of 10.5 metres. c. That the stopping of vehicles be prohibited at any time on the southwest side of Selwyn Street, commencing at its intersection with Cooke Street and extending in a north-westerly direction for a distance of 26 metres. d. That the stopping of vehicles be prohibited at any time on the southwest side of Selwyn Street, commencing at its intersection with Cooke Street and extending in a south-easterly direction for a distance of 17 metres. e. That the stopping of vehicles be prohibited at any time on the northwest side of Cooke Street, commencing at its intersection with Selwyn Street and extending in a south-westerly direction for a distance of 21.5 metres. f. That the stopping of vehicles be prohibited at any time on the southeast side of Cooke Street, commencing at its intersection with Selwyn Street and extending in a south-westerly direction for a distance of 12.5 metres. 10. Approves, pursuant to Clause 7 of the Christchurch City Council Traffic and Parking Bylaw 2017 for Plan 60720368-SHT-GE-9011, dated 19/12/2024 as shown in Attachment B: a. That the stopping of vehicles be prohibited at any time on the northeast side of Selwyn Street, commencing at its intersection with Leitch Street and extending in a north-westerly direction for a distance of 11 metres. b. That the stopping of vehicles be prohibited at any time on the northeast side of Selwyn Street, commencing at its intersection with Leitch Street and extending in a south-easterly direction for a distance of 11 metres. c. That the stopping of vehicles be prohibited at any time on the northwest side of Leitch Street, commencing at its intersection with Selwyn Street and extending in a north-easterly direction for a distance of 14 metres. d. That the stopping of vehicles be prohibited at any time on the southeast side of Leitch Street, commencing at its intersection with Selwyn Street and extending in a north-easterly direction for a distance of 13.5 metres. e. That the stopping of vehicles be prohibited at any time on the northeast side of Selwyn Street, commencing at its intersection with Dunn Street and extending in a north-westerly direction for a distance of 11 metres. f. That the stopping of vehicles be prohibited at any time on the northeast side of Selwyn Street, commencing at its intersection with Dunn Street and extending in a south-easterly direction for a distance of 11 metres. g. That the stopping of vehicles be prohibited at any time on the northwest side of Dunn Street, commencing at its intersection with Selwyn Street and extending in a north-easterly direction for a distance of 13 metres. h. That the stopping of vehicles be prohibited at any time on the southeast side of Dunn Street, commencing at its intersection with Selwyn Street and extending in a north-easterly direction for a distance of 13 metres. 11. Approves, pursuant to Clause 7 of the Christchurch City Council Traffic and Parking Bylaw 2017 for Plan 60720368-SHT-GE-9012, dated 19/12/2024 as shown in Attachment B: a. That the stopping of vehicles be prohibited at any time on the northeast side of Selwyn Street, commencing at a point 34 metres south-east of its intersection with Dunn Street and extending in a south-easterly direction for a distance of 11 metres. b. That the stopping of vehicles be prohibited at any time on the northeast side of Selwyn Street, commencing at a point 65 metres south-east of its intersection with Dunn Street and extending in a south-easterly direction for a distance of 11 metres. c. That the stopping of vehicles be prohibited at any time on the southwest side of Selwyn Street, commencing at its intersection with Stenness Avenue and extending in a north-westerly direction for a distance of 21 metres. d. That the stopping of vehicles be prohibited at any time on the southwest side of Selwyn Street, commencing at its intersection with Stenness Avenue and extending in a south-easterly direction for a distance of 15.5 metres. e. That the stopping of vehicles be prohibited at any time on the northwest side of Stenness Avenue, commencing at its intersection with Selwyn Street and extending in a south-westerly direction for a distance of 22 metres. f. That the stopping of vehicles be prohibited at any time on the southeast side of Stenness Avenue, commencing at its intersection with Selwyn Street and extending in a south-westerly direction for a distance of 12 metres. 12. Approves, pursuant to Clause 7 of the Christchurch City Council Traffic and Parking Bylaw 2017 for Plan 60720368-SHT-GE-9013, dated 18/12/2024 as shown in Attachment B: a. That the stopping of vehicles be prohibited at any time on the northeast side of Selwyn Street, commencing at its intersection with Somerfield Street and extending in a north-westerly direction for a distance of 23.5 metres. b. That the stopping of vehicles be prohibited at any time on the southwest side of Selwyn Street, commencing at its intersection with Somerfield Street and extending in a north-westerly direction for a distance of 23.5 metres. c. That the stopping of vehicles be prohibited at any time on the northwest side of Somerfield Street, commencing at its intersection with Selwyn Street and extending in a north-easterly direction for a distance of 28.5 metres. d. That the stopping of vehicles be prohibited at any time on the northwest side of Somerfield Street, commencing at its intersection with Selwyn Street and extending in a south-westerly direction for a distance of 24 metres. e. That the stopping of vehicles be prohibited at any time on the southeast side of Somerfield Street, commencing at its intersection with Selwyn Street and extending in a north-easterly direction for a distance of 24.5 metres. f. That the stopping of vehicles be prohibited at any time on the southeast side of Somerfield Street, commencing at its intersection with Selwyn Street and extending in a south-westerly direction for a distance of 23.5 metres. 13. Approves that these resolutions take effect when parking signage and/or road markings that evidence the restrictions described in the staff report are in place (or removed in the case of revocations). That the Waihoro Spreydon-Cashmere-Heathcote Community Board recommend that Council: 14. Approves in accordance with Clause 18 of the Christchurch City Council Traffic & Parking Bylaw 2017 for Plan TG151619, dated 05/06/2025 as shown in Attachment C: a. That a Special Vehicle Lane (cycle lane) be installed on the north-east side of Selwyn Street, commencing at its intersection with Milton Street and extending in a north-westerly direction for a distance of 36 metres. b. That a Special Vehicle Lane (cycle lane) be installed on the south-west side of Selwyn Street, commencing at its intersection with Milton Street and extending in a south-easterly direction for a distance of 34 metres. |
In addition to the attached documents, the following background information is available:
|
Document Name – Location / File Link |
|
Not applicable
|
Attachments Ngā Tāpirihanga
|
No. |
Report Title |
Reference |
Page |
|
Spreydon, Somerfield, Waltham, Beckenham CRAF - Selwyn Street pedestrian and cycle safety improvements |
24/2253692 |
182 |
|
No. |
Title |
Reference |
Page |
|
a ⇩ |
Selwyn Street - Christchurch South Karamata Intermediate School |
25/80618 |
195 |
|
b ⇩ |
Selwyn Street - Roker Street to Somerfield Street |
25/80620 |
196 |
|
c ⇩ |
Selwyn Street - Milton Street intersection |
25/1142338 |
201 |
1. Purpose and Origin of the Report Te Pūtake Pūrongo
1.1 The purpose of this report is for the Waihoro Spreydon-Cashmere-Heathcote Community Board to consider the Selwyn Street pedestrian safety scheme design following community engagement. This will allow the project to proceed to detailed design and construction.
1.2 Selwyn Street pedestrian safety improvements are a component of the Colombo Street, Somerfield Street and Selwyn Street project within the Spreydon, Somerfield, Waltham, Beckenham Christchurch Regeneration Acceleration Facility (CRAF) programme.
1.3 The report has been written to address safety improvement of the transport assets on Selwyn Street.
2. Officer Recommendations Ngā Tūtohu
That the Waihoro Spreydon-Cashmere-Heathcote Community Board:
1. Receives the information in the Spreydon, Somerfield, Waltham, Beckenham CRAF - Selwyn Street pedestrian and cycle safety improvements Report.
2. Notes that the decision in this report is assessed as low significance based on the Christchurch City Council’s Significance and Engagement Policy.
3. Revokes any previous resolutions pertaining to traffic controls made pursuant to any bylaw to the extent that they are in conflict with the parking or stopping restrictions described in resolutions 4 to 13 below.
4. Approves the design, including kerb alignments, road surface treatments, raised pedestrian crossing, pedestrian islands, pedestrian cut-downs, resurfacing footpaths, tactile pavers and road markings as detailed in the following plans and attached to this report as Attachments A, B and C.
5. Approves, pursuant to Clause 7 of the Christchurch City Council Traffic and Parking Bylaw 2017 for Plan 60720368-SHT-GE-9006, dated 18/12/2024 and attached to this report as Attachment A:
a. That the parking of all vehicles be restricted to a maximum period of 3 minutes on the north-east side of Selwyn Street, commencing at a point 111 metres south-east of its intersection with Bletsoe Avenue and extending in a south-easterly direction for a distance of 26.5 metres. This restriction is to apply from 8am-9am, and from 2:30-3:30pm, on school days only.
b. That the stopping of vehicles be prohibited at any time on the north-east side of Selwyn Street, commencing at a point 137.5 metres south-east of its intersection with Bletsoe Avenue and extending in a south-easterly direction for a distance of 12 metres.
c. That a Bus Stop be installed, on the north-east side of Selwyn Street, commencing at a point 149.5 metres south-east of its intersection with Bletsoe Avenue and extending in a south-easterly direction for a distance of 30 metres.
d. That the stopping of vehicles be prohibited at any time on the north-east side of Selwyn Street, commencing at a point 179.5 metres south-east of its intersection with Bletsoe Avenue and extending in a south-easterly direction for a distance of 38 metres.
e. That the stopping of vehicles be prohibited at any time on the south-west side of Selwyn Street, commencing at a point 44 metres north-west of its intersection with Dobson Street and extending in a north-westerly direction to its intersection with Cheviot Street.
f. That the stopping of vehicles be prohibited at any time on the south-west side of Selwyn Street, commencing at its intersection with Cheviot Street and extending in a north-westerly direction for a distance of 6 metres.
g. That a Bus Stop be installed, on the south-west side of Selwyn Street, commencing at a point 6 metres north-west of its intersection with Cheviot Street and extending in a north-westerly direction for a distance of 15 metres.
h. That the stopping of vehicles be prohibited at any time on the south-west side of Selwyn Street, commencing at a point 21 metres north-west of its intersection with Cheviot Street and extending in a north-westerly direction for a distance of 7 metres.
Pedestrian Crossing
6. Approves that in accordance with Section 8.2 of the Land Transport Rule – Traffic Control Devices: 2004, that a Pedestrian Crossing be installed on Selwyn Street, located 66.5 metres northwest of its intersection with Dobson Street, and as detailed on plan 60720368-SHT-GE-9006, dated 18/12/2024 and attached to this report as Attachment A.
School Patrol
7. Approves that pursuant to Section 8.3(1) of The Land Transport Rule- Traffic Control Devices: 2004, and the Local Government Act 1974, The Christchurch City Council hereby authorises the Board of Trustees of Christchurch South Intermediate School, to appoint the appropriately trained persons to act as school patrols at the pedestrian crossing (zebra crossing) on Selwyn Street, located 66.5 metres northwest of its intersection with Dobson Street.
Selwyn Street – Roker Street to Somerfield Street
8. Approves, pursuant to Clause 7 of the Christchurch City Council Traffic and Parking Bylaw 2017 for Plan 60720368-SHT-GE-9009, dated 19/12/2024 as shown in Attachment B:
a. That the stopping of vehicles be prohibited at any time on the northeast side of Selwyn Street, commencing at its intersection with Roker Street and extending in a south-easterly direction for a distance of 27.5 metres.
b. That the stopping of vehicles be prohibited at any time on the southwest side of Selwyn Street, commencing at its intersection with Roker Street and extending in a south-easterly direction for a distance of 36.5 metres.
9. Approves, pursuant to Clause 7 of the Christchurch City Council Traffic and Parking Bylaw 2017 for Plan 60720368-SHT-GE-9010, dated 19/12/2024 as shown in Attachment B:
a. That the stopping of vehicles be prohibited at any time on the northeast side of Selwyn Street, commencing at a point 53 metres south-east of its intersection with Penrith Avenue and extending in a south-easterly direction for a distance of 15 metres.
b. That the stopping of vehicles be prohibited at any time on the northeast side of Selwyn Street, commencing at a point 90 metres south-east of its intersection with Penrith Avenue and extending in a south-easterly direction for a distance of 10.5 metres.
c. That the stopping of vehicles be prohibited at any time on the southwest side of Selwyn Street, commencing at its intersection with Cooke Street and extending in a north-westerly direction for a distance of 26 metres.
d. That the stopping of vehicles be prohibited at any time on the southwest side of Selwyn Street, commencing at its intersection with Cooke Street and extending in a south-easterly direction for a distance of 17 metres.
e. That the stopping of vehicles be prohibited at any time on the northwest side of Cooke Street, commencing at its intersection with Selwyn Street and extending in a south-westerly direction for a distance of 21.5 metres.
f. That the stopping of vehicles be prohibited at any time on the southeast side of Cooke Street, commencing at its intersection with Selwyn Street and extending in a south-westerly direction for a distance of 12.5 metres.
10. Approves, pursuant to Clause 7 of the Christchurch City Council Traffic and Parking Bylaw 2017 for Plan 60720368-SHT-GE-9011, dated 19/12/2024 as shown in Attachment B:
a. That the stopping of vehicles be prohibited at any time on the northeast side of Selwyn Street, commencing at its intersection with Leitch Street and extending in a north-westerly direction for a distance of 11 metres.
b. That the stopping of vehicles be prohibited at any time on the northeast side of Selwyn Street, commencing at its intersection with Leitch Street and extending in a south-easterly direction for a distance of 11 metres.
c. That the stopping of vehicles be prohibited at any time on the northwest side of Leitch Street, commencing at its intersection with Selwyn Street and extending in a north-easterly direction for a distance of 14 metres.
d. That the stopping of vehicles be prohibited at any time on the southeast side of Leitch Street, commencing at its intersection with Selwyn Street and extending in a north-easterly direction for a distance of 13.5 metres.
e. That the stopping of vehicles be prohibited at any time on the northeast side of Selwyn Street, commencing at its intersection with Dunn Street and extending in a north-westerly direction for a distance of 11 metres.
f. That the stopping of vehicles be prohibited at any time on the northeast side of Selwyn Street, commencing at its intersection with Dunn Street and extending in a south-easterly direction for a distance of 11 metres.
g. That the stopping of vehicles be prohibited at any time on the northwest side of Dunn Street, commencing at its intersection with Selwyn Street and extending in a north-easterly direction for a distance of 13 metres.
h. That the stopping of vehicles be prohibited at any time on the southeast side of Dunn Street, commencing at its intersection with Selwyn Street and extending in a north-easterly direction for a distance of 13 metres.
11. Approves, pursuant to Clause 7 of the Christchurch City Council Traffic and Parking Bylaw 2017 for Plan 60720368-SHT-GE-9012, dated 19/12/2024 as shown in Attachment B:
a. That the stopping of vehicles be prohibited at any time on the northeast side of Selwyn Street, commencing at a point 34 metres south-east of its intersection with Dunn Street and extending in a south-easterly direction for a distance of 11 metres.
b. That the stopping of vehicles be prohibited at any time on the northeast side of Selwyn Street, commencing at a point 65 metres south-east of its intersection with Dunn Street and extending in a south-easterly direction for a distance of 11 metres.
c. That the stopping of vehicles be prohibited at any time on the southwest side of Selwyn Street, commencing at its intersection with Stenness Avenue and extending in a north-westerly direction for a distance of 21 metres.
d. That the stopping of vehicles be prohibited at any time on the southwest side of Selwyn Street, commencing at its intersection with Stenness Avenue and extending in a south-easterly direction for a distance of 15.5 metres.
e. That the stopping of vehicles be prohibited at any time on the northwest side of Stenness Avenue, commencing at its intersection with Selwyn Street and extending in a south-westerly direction for a distance of 22 metres.
f. That the stopping of vehicles be prohibited at any time on the southeast side of Stenness Avenue, commencing at its intersection with Selwyn Street and extending in a south-westerly direction for a distance of 12 metres.
12. Approves, pursuant to Clause 7 of the Christchurch City Council Traffic and Parking Bylaw 2017 for Plan 60720368-SHT-GE-9013, dated 18/12/2024 as shown in Attachment B:
a. That the stopping of vehicles be prohibited at any time on the northeast side of Selwyn Street, commencing at its intersection with Somerfield Street and extending in a north-westerly direction for a distance of 23.5 metres.
b. That the stopping of vehicles be prohibited at any time on the southwest side of Selwyn Street, commencing at its intersection with Somerfield Street and extending in a north-westerly direction for a distance of 23.5 metres.
c. That the stopping of vehicles be prohibited at any time on the northwest side of Somerfield Street, commencing at its intersection with Selwyn Street and extending in a north-easterly direction for a distance of 28.5 metres.
d. That the stopping of vehicles be prohibited at any time on the northwest side of Somerfield Street, commencing at its intersection with Selwyn Street and extending in a south-westerly direction for a distance of 24 metres.
e. That the stopping of vehicles be prohibited at any time on the southeast side of Somerfield Street, commencing at its intersection with Selwyn Street and extending in a north-easterly direction for a distance of 24.5 metres.
f. That the stopping of vehicles be prohibited at any time on the southeast side of Somerfield Street, commencing at its intersection with Selwyn Street and extending in a south-westerly direction for a distance of 23.5 metres.
13. Approves that these resolutions take effect when parking signage and/or road markings that evidence the restrictions described in the staff report are in place (or removed in the case of revocations).
That the Waihoro Spreydon-Cashmere-Heathcote Community Board recommend that Council:
14. Approves in accordance with Clause 18 of the Christchurch City Council Traffic & Parking Bylaw 2017 for Plan TG151619, dated 05/06/2025 as shown in Attachment C:
a. That a Special Vehicle Lane (cycle lane) be installed on the north-east side of Selwyn Street, commencing at its intersection with Milton Street and extending in a north-westerly direction for a distance of 36 metres.
b. That a Special Vehicle Lane (cycle lane) be installed on the south-west side of Selwyn Street, commencing at its intersection with Milton Street and extending in a south-easterly direction for a distance of 34 metres.
3. Executive Summary Te Whakarāpopoto Matua
3.1 In August 2022, staff presented a package of improvements to the Waihoro Spreydon-Cashmere and Waikura Linwood-Central-Heathcote Community Boards (Agenda, Item 5). The Community Boards jointly approved a number of projects for the Spreydon, Somerfield, Waltham, Beckenham CRAF programme (Minutes, Item 5) which included a package of improvements for Colombo Street, Somerfield Street and Selwyn Street.
3.2 The Community Boards requested staff to install a number of improvements on Selwyn Street.
3.3 The following sites on Selwyn Street were identified as Board priorities for improvements and are included in the scheme for approval:
3.3.1 Investigate the intersection deficiencies at the Selwyn Street/Somerfield Street intersection and implement appropriate safety improvements, including pedestrian and cycle crossing facilities.
3.3.2 Implement safety improvement at the kea crossing outside Christchurch South Karamata Intermediate School on Selwyn Street, by raising the crossing and installing red surfacing, or through the implementation of a similar treatment.
3.3.3 Investigate the locations for three pedestrian islands or crossings on Selwyn Street.
Selwyn Street/Somerfield Street intersection
3.4 The recommended option is to install improved pedestrian and cycle facilities at the intersection, as shown in Attachment A, and summarised below:
· Install pedestrian refuge islands on Somerfield Street on both sides of the Selwyn Street intersection
· Install tactile pavers at the existing Selwyn Street (north side) crossing to improve accessibility and promote pedestrian desire lines
· New green cycle marking on the existing cycle lanes on Somerfield Street across the intersection of Selwyn Street
· Install new speed humps on Selwyn Street, north side of Somerfield Street, on the exit and entry
Selwyn Street intersections between Roker Street and Somerfield Street
3.5 The recommended option is to install improved pedestrian crossing facilities, as shown in Attachment A and summarised below:
· Install kerb buildouts on Selwyn Street at the intersections of Stenness Avenue, Dunn Street, Leitch Street and Cooke Street
· Install tactile pavers at each crossing on either side of the carriageway to improve accessibility
· Increase no-stopping on Selwyn Street at the existing crossing location at Roker Street to improve sightlines for pedestrians.
Selwyn Street/Milton Street intersection
3.6 In May/early June 2025, Orion were installing an underground 66kV electricity cable at this intersection. The traffic signals at this intersection were at the end of their service life and staff worked alongside Orion to replace the traffic signals. This allowed for safety improvements to be installed such as pedestrian protection for tamariki-children travelling to and from Christchurch South Karamata Intermediate School.
3.7 The recommended option is to install road marking for people cycling through the intersection, as shown in Attachment C, and summarised below:
· Sharrow markings on the kerbside lanes on Milton Street
· Advanced cycle boxes on each approach
· Hook turn boxes on each corner
Selwyn Street - Christchurch South Karamata Intermediate School
3.8 The recommended option is to install improved pedestrian facilities at the school, as shown in Attachment B, and summarised below:
· New raised pedestrian crossing at existing crossing location on Selwyn Street
· Kerb buildouts to reduce the crossing distance
· New tactile pavers
· Extend existing bus parking outside school
4. Background/Context Te Horopaki
4.1 CRAF is a funding package from the Treasury for transport projects in Christchurch. The CRAF investment in roading and transport improvements will address condition and safety and access issues. It will act as a catalyst towards the development of a high-quality, safe and reliable transport network.
4.2 Improving safety on local roads in Christchurch is a priority for the Council. Providing safe and key infrastructure is key to ensure people get to where they are going safely, irrespective of their mode of travel.
4.3 Selwyn Street has been identified as an important link for pedestrians and cyclists as part of the initial street reviews and through public consultation. There are several schools and two retail centres along the corridor. Selwyn Street has traffic flows of over 8,000 vehicles per day with 85th percentile vehicle speed of 54km/h north of its intersection with Coronation Street, and traffic flows of approximately 3,500 vehicles per day north of Somerfield Street with 85th percentile vehicle speed of 53.6 km/h.
4.4 Selwyn Street is a flat, wide (12-14m) moderate collector route that connects the Central City to Christchurch South and is surrounded by residential properties.
4.5 Residents and students cross Selwyn Street at several locations to access Somerfield Te Kura Wairepo located on Somerfield Street and Christchurch South Karamata Intermediate School, located on Selwyn Street.
4.6 Wide lanes on Selwyn Street passively increase drivers speed, leading to potentially high operating speeds making it unsafe for pedestrians crossing.
4.7 The large radius of the corners at some intersections allows vehicles to turn into the side streets without sufficiently reducing speed.
Selwyn Street/Somerfield Street intersection
4.8 Somerfield Te Kura Wairepo is located on Somerfield Street between Studholme Street and Barrington Street catering for years 1-6 with a roll of approximately 500 students.
4.9 The main entrance to the school is located on Somerfield Street, with another entrance on Studholme Street.
4.10 The intersection of Selwyn Street/Somerfield Street is used by a number of students travelling to schools in the area.
4.11 There is a Montessori Preschool located on the northwest corner of the intersection.
4.12 The intersection generates a lot of activity, especially in peak times with vehicles heading into the city, students travelling to and from school, and preschool drop off and pick-ups.
Selwyn Street intersections between Milton Street and Somerfield Street
4.13 Students from both Somerfield Te Kura Wairepo and Christchurch South Karamata Intermediate School travel along Selwyn Street through Selwyn Street/Milton Street intersection, Selwyn Street/Somerfield Street intersection as well as crossing smaller side streets.
4.14 During an afternoon site visit it was noted that the main travel modes were pedestrians and cyclists heading southbound along the road and footpath.
4.15 The side streets onto Selwyn Street have large radii which allows vehicles to enter at speed.
4.16 There are many children that use the Milton/Selwyn intersection for their journey to school, on foot and by bicycle. Pedestrian protection is being introduced through the current re-cabling works and separation is also being provided between the crosswalks. There are cycle lanes marked on the Selwyn Street approach but there are currently no cycle facilities on Milton Street.
Selwyn Street - Christchurch South Karamata Intermediate School
4.17 Christchurch South Karamata Intermediate School is located on Selwyn Street and caters for Years 7 and 8 with a roll of approximately 530 students. Its catchment is bounded by the Port Hills, Heathcote River and the city.
4.18 The main entrance to the school is on Selwyn Street, with a secondary entrance from Dominion Avenue.
4.19 The school operates a kea crossing on Selwyn Street before and after school.
4.20 The school utilises the existing bus stop on the east side of Selwyn Street.
4.21 Improvements on Selwyn Street are designed to improve safety and accessibility specifically for students attending Somerfield Te Kura Wairepo located on Somerfield Street and Christchurch South Karamata Intermediate School, located on Selwyn Street.
4.22 At the time of approving the project improvements the Community Board requested staff to closely work with the key stakeholders to understand their needs for improvements. Schools advised the project team the improvements that was needed for the area, which was later developed and consulted on.
4.23 The following related information session/workshops have taken place for the members of the meeting:
|
Date |
Subject |
|
12 August 2022 |
Confirmation of Spreydon, Somerfield, Waltham and Beckenham Christchurch Regeneration Acceleration Facility (CRAF) programme https://christchurch.infocouncil.biz/Open/2022/08/JLSB_20220812_AGN_8150_AT.htm |
|
29 August 2024 |
Spreydon, Somerfield, Waltham, Beckenham CRAF – Project Update https://christchurch.infocouncil.biz/Open/2024/08/ISWS_20240829_AGN_10060_AT.PDF |
Options Considered Ngā Kōwhiringa Whaiwhakaaro
4.24 The following reasonably practicable options were considered and are assessed in this report:
4.24.1 Option 1 – Selwyn Street safety improvements as shown in Attachments A and B.
4.24.2 Option 2 – Do nothing.
Options Descriptions Ngā Kōwhiringa
4.25 Preferred Option: Selwyn Street – pedestrian and cycle safety improvements
4.25.1 Option Description: Pedestrian and cycle safety improvements including intersection safety improvements:
· Installing pedestrian refuge islands on Somerfield Street on both sides of the Selwyn Street intersection with associated tactile pavers.
· Installing speed humps on Selwyn Street at the northern entry and exit at Somerfield Street.
· New green cycle marking on the existing cycle lanes on Somerfield Street across the intersection of Selwyn Street.
· New pedestrian buildouts and tactile pavers at the following locations:
· Crossing Selwyn Street either side of Stenness Avenue and crossing Stenness Avenue
· Crossing Dunn Street at the Selwyn Street intersection
· Crossing Leitch Street at the Selwyn Street intersection
· Crossing Selwyn Street either side of Cooke Street and crossing Cooke Street
· Parking removal on Selwyn Street at Roker Street to improve sightlines at the existing refuge crossings
· New green cycle paint and extension for the existing cycle lanes on Selwyn Street at the intersection of Milton Street
Christchurch South Karamata Intermediate (Selwyn Street)
· Install a raised pedestrian crossing with associated linemarking, tactile pavers and kerb buildouts in current crossing location on Selwyn Street
· Extend existing bus parking bay outside the school
4.25.2 Option Advantages
· Meets all project objectives
· Improved pedestrian safety
· Improved crossing facilities at four intersections on Selwyn Street between Somerfield Street and Milton Street
· Improved crossing facilities on Somerfield Street at Selwyn Street intersection
· Improved cycle safety on Selwyn Street at the Somerfield Street and Milton Street intersections
· Improved cycle safety on Somerfield Street at Selwyn Street intersection
· Improved crossing facilities at Christchurch South Karamata Intermediate on Selwyn Street
· Additional bus parking at Christchurch South Karamata Intermediate on Selwyn Street
4.25.3 Option Disadvantages
· Removal of 35 carparks on Selwyn Street between Milton Street and Somerfield Street
4.26 Selwyn Street – Do nothing
4.26.1 Option Description: Existing layout remains with no improvements for pedestrians or cyclists
4.26.2 Option Advantages
· Funding could be spent on other projects within the programme
· No parking removal
4.26.3 Option Disadvantages
· Does not meet project objectives
· No safe crossing points for pedestrians on Selwyn Street, specifically students from Somerfield Te Kura Wairepo and Christchurch South Karamata Intermediate
· No improved cycle facilities
· No improved crossing facilities for Christchurch South Karamata Intermediate students
5. Financial Implications Ngā Hīraunga Rauemi
Capex/Opex Ngā Utu Whakahaere
|
|
Recommended Option 1 |
Option 2 – Do nothing |
|
Cost to Implement |
$512,000 |
N/A |
|
Maintenance/Ongoing Costs |
Covered by existing maintenance contract - minor increase due to requirement for hand sweeping channel behind kerb buildouts – approx. $2,000/year for whole project area |
Covered by existing maintenance contract. |
|
Funding Source |
LTP Budget 73818 – Spreydon, Somerfield, Waltham, Beckenham CRAF – Colombo Street, Somerfield Street, Selwyn Street improvements |
N/A |
|
Funding Availability |
Funds are available |
Funds are available |
|
Impact on Rates |
Nil* |
N/A |
*This project is funded from the Christchurch Regeneration Acceleration Fund so does not impact on rates
6. Considerations Ngā Whai Whakaaro
Risks and Mitigations Ngā Mōrearea me ngā Whakamātautau
6.1 None identified above BAU
Legal Considerations Ngā Hīraunga ā-Ture
6.2 Statutory and/or delegated authority to undertake proposals in the report:
6.2.1 The Community Boards have delegated authority from Council to exercise the delegations as set out in the Register of Delegations. The list of delegations for the Community Boards includes the resolution of stopping and traffic control devices.
6.2.2 The installation of any signs and/or marking associated with traffic control devices must comply with the Land Transport Rule: Traffic Control Devices 2004.
6.2.3 Part 1, Clause 7 of the Christchurch City Council Traffic and Parking Bylaw 2017 provides Council with the authority to install parking or stopping restrictions by resolution.
6.3 Other Legal Implications:
6.3.1 There is no legal context, issue, or implication relevant to this decision.
Strategy and Policy Considerations Te Whai Kaupapa here
6.4.1 Align with the Christchurch City Council’s Strategic Framework.
6.4.2 Are of low significance in relation to the Christchurch City Council’s Significance and Engagement Policy 2019. The level of significance was determined by the low number of people affected and/or with an interest, limited benefits/opportunities and costs/risks to Council, and modest level of community influence.
6.5 This report supports the Council's Long Term Plan (2024 - 2034):
6.6 Transport
6.6.1 Activity: Transport
· Level of Service: 10.5.3 More people are choosing to travel by cycling - >=12,500 average daily cyclist detections
· Level of Service: 10.5.42 Increase the infrastructure provision for active and public modes - >= 625 kilometres (total combined length)
· Level of Service: 16.0.10 Maintain the perception (resident satisfaction) that Christchurch is a walking friendly city - >=85% resident satisfaction
Community Impacts and Views Ngā Mariu ā-Hāpori
Public Consultation Te Tukanga Kōrerorero
6.7 Initial discussions with Christchurch South Karamata Intermediate and Somerfield Te Kura Wairepo started in February 2024, to understand safety concerns for their students travelling to and from the schools.
6.8 Christchurch South Karamata Intermediate raised issues related to parking behaviours and demand at school pick up time, and bus stop concerns and requested a raised crossing.
6.9 The draft plans were shared at a follow-up meeting on 4 August 2024. The school were positive about the plan but queried whether kerb narrowing would be sufficient without a raised crossing and requested the bus stop length be extended, which it was. The school did not support a cycleway as this would remove already limited parking.
6.10 Somerfield Te Kura Wairepo supported any pedestrian safety improvements, specifically at the Somerfield Street/Selwyn Street intersection. They raised concerns about any parking loss and were happy to share the information through their channels once consultation was underway.
6.11 Fire and Emergency NZ were provided with the plan prior to consultation, and while their position on speed platforms remains unchanged, they had no further issues with the plans.
6.12 Environment Canterbury were supportive of the plans, stating that the raised crossing will allow pedestrians, including school students, to cross more safely, and make it safer to access the bus stops. Consultation started on 16 October 2024 and ran until 6 November 2024.
6.13 An email was sent to 87 key stakeholders, including Spreydon Neighbourhood Network, Somerfield Residents Association, and key transport and emergency services stakeholders such as Fire and Emergency NZ, Environment Canterbury and AA. Christchurch South Karamata Intermediate was encouraged to share the consultation to their parent newsletter.
6.14 Consultation details including links to the project information shared on the Kōrero mai | Let’s Talk webpage were advertised via:
6.14.1 Local community Facebook pages, including Sydenham Neighbourhood, Beckenham Neighbourhood, West Spreydon Neighbourhood Link, Spreydon Connection, Spreydon Neighbourhood Network, and Somerfield Residents Association.
6.14.2 Flyers delivered to impacted residents on 16 October, which included the relevant plan for their property, the link to the website and an invitation to get in touch or meet with staff if they had questions.
6.15 The Kōrero mai | Let’s Talk had 612 views throughout the consultation period.
6.16 At a post-consultation meeting with Courtyard Montessori to discuss their parking removal concerns it was agreed three car parks on Selwyn Street closest to the preschool could be retained.
Summary of Submissions Ngā Tāpaetanga
6.17 Submissions were made by three recognised organisations, one business and 52 individuals. All 56 submissions are available on our Kōrero mai webpage.
6.18 Submitters were asked what they like about the plan, what they don’t like about the plan, their level of overall support for the plan, and if there’s anything else the Waihoro Spreydon-Cashmere-Heathcote Community Board should consider before making a decision about these plans.
6.19 Community organisation/business feedback
· Spokes were supportive of the plan, and specifically supportive of safer crossing points, reducing width/narrowing, the raised crossing, changes at Somerfield/Selwyn and the bus bay. They were disappointed in a lack of cycle lanes, and requested improvements to the crossing, kerb cutdowns, Selwyn/Milton Street improvements, lower speeds, and out of scope requests for the project area.
· Somerfield Residents Association were supportive of the plan, and were also supportive of safer crossing points, kerb narrowing, the raised crossing, and changes at Somerfield/Selwyn, and similarly were disappointed with a lack of cycle lanes. They requested kerb cutdowns to the crossing, cycle lanes on Selwyn Street, more traffic calming elsewhere in the neighbourhood, and to plant trees.
· Spreydon Neighbourhood Network were supportive of the plan, safer crossing points, kerb narrowing, changes at Somerfield/Selwyn, and the drop off zone. They disliked some parking loss.
· Courtyard Montessori Preschool were
not supportive, due to loss of car parks. The project team met with them
following consultation and discussed the plan and why we were proposing it. Based
on the discussion 3 car parks were reintroduced on Selwyn Street, on the side
closest to the Preschool.
6.20 Of the 53 individual submissions:
· 39 supported the plan
· 7 somewhat supported the plan
· 7 did not support the plan
6.21 Submitters liked the following elements of the plan:
· Safer crossing points for pedestrians / tamariki / cyclists (38)
· Reducing width / narrowing at side streets (13)
· Raised crossing (12)
· Changes at Somerfield/Selwyn streets (8)
· Roker Street visibility improvements (3)
6.22 Submitters disliked the following elements of the plan:
· No cycle lane (10)
· Parking loss (8)
· Speed bumps/raised crossings (5)
· Perceived cost (3)
6.23 Submitters requested the following changes:
· Cycle lane on Selwyn Street (11)
· Safety improvements for cyclists and pedestrians at the Selwyn/Milton Street intersection (3)
· Lower speeds (3)
· Kerb cutdowns at the zebra crossing (2)
· Sharrows (2)
· New trees (2)
6.24 Out of scope requests included a renewal of Selwyn Street (3), traffic calming elsewhere (3), improving the Simeon/Milton crossing (2), and a smoother crossing at Roker Street for the Quarryman’s trail cycleway (2).
Summary of Submissions Ngā Tāpaetanga
6.25 The decision affects the following wards/Community Board areas:
6.25.1 Waihoro Spreydon-Cashmere-Heathcote Community Board
6.25.2 Spreydon Ward
Impact on Mana Whenua Ngā Whai Take Mana Whenua
6.26 The decision does not involve a significant decision in relation to ancestral land, a body of water or other elements of intrinsic value, therefore this decision does not specifically impact Mana Whenua, their culture, and traditions.
6.27 The decision does not involve a matter of interest to Mana Whenua and will not impact on our agreed partnership priorities with Ngā Papatipu Rūnanga.
Climate Change Impact Considerations Ngā Whai Whakaaro mā te Āhuarangi
6.28 The decisions in this report are likely to:
6.28.1 Contribute positively to adaptation to the impacts of climate change.
6.28.2 Contribute positively to emissions reductions.
6.29 The proposals in this report are unlikely to contribute significantly to adaptation to the impacts of climate change or emissions reductions.
6.30 This is a minor scheme and will not have a significant impact, however it will provide safer crossing for the local residents and nearby schools.
7. Next Steps Ngā Mahinga ā-muri
7.1 If approved staff will progress the scheme to detailed design and construction.
Attachments Ngā Tāpirihanga
|
No. |
Title |
Reference |
Page |
|
a |
Selwyn Street - Christchurch South Karamata Intermediate School |
25/80618 |
|
|
b |
Selwyn Street - Roker Street to Somerfield Street |
25/80620 |
|
|
c |
Selwyn Street - Milton Street intersection |
25/1142338 |
|
In addition to the attached documents, the following background information is available:
|
Document Name – Location / File Link |
|
Not applicable
|
Signatories Ngā Kaiwaitohu
|
Authors |
Ann Tomlinson - Project Manager Gemma Dioni - Principal Advisor Transportation - Safety |
|
Approved By |
Jacob Bradbury - Manager Planning & Delivery Transport Tony Richardson - Finance Business Partner Lynette Ellis - Head of Transport & Waste Management |
|
15. Spreydon, Somerfield, Waltham, Beckenham CRAF - Lyttelton Street safety improvements |
|
|
Reference Te Tohutoro: |
25/1431871 |
|
Responsible Officer(s) Te Pou Matua: |
Ann
Tomlinson, Project Manager |
|
Accountable ELT Member Pouwhakarae: |
Brent Smith, General Manager City Infrastructure |
|
2. Waihoro Spreydon-Cashmere-Heathcote Community Board Recommendation to Council |
|
|
|
1. Approves that a Special Vehicle Lane, in accordance with Clause 18 of the Christchurch City Council Traffic and Parking Bylaw 2017 as defined in Section 11.1A of the Land Transport (Road User) Rule 2004: a. For the use of southbound road users, excepting pedestrians and riders of mobility devices, be installed on the east side of Lyttelton Street, commencing at a point 11.5 metres south of its intersection with Frankleigh Street and extending in a southerly direction for a distance of 556.5 metres. b. For the use of northbound users, excepting pedestrians and riders of mobility devices, be installed on the west side of Lyttelton Street, commencing at a point 11 metres south of its intersection with Sparks Road and extending in a southerly direction for a distance of 571 metres. |
|
3. Officer Recommendations Ngā Tūtohu |
|
|
|
That the Waihoro Spreydon-Cashmere-Heathcote Community Board: 1. Receives the information in the Spreydon, Somerfield, Waltham, Beckenham CRAF - Lyttelton Street safety improvements Report. 2. Notes that the decision in this report is assessed as low significance based on the Christchurch City Council’s Significance and Engagement Policy. 3. Approves the design, including kerb alignments, raised safety platform, road surface treatments, widening and resurfacing footpaths, tactile pavers, road markings and pedestrian islands as detailed on plans 60720368-SHT-SK-4003, dated 09/06/2025 and 60720368-SHT-SK-4050, dated 27/05/2025 and attached to this report as Attachments A and B. 4. Approves, pursuant to Clause 7 of the Christchurch City Council Traffic and Parking Bylaw 2017: Lyttelton Street – Frankleigh Street to Rose Street a. That the stopping of vehicles be prohibited at any time on the east side of Lyttelton Street, commencing at a point 56 metres from its intersection with Frankleigh Street and extending in a southerly direction for a distance of 34 metres. b. That the stopping of vehicles be prohibited at any time on the east side of Lyttelton Street, commencing at its intersection with Roberta Drive and extending in a northerly direction for a distance of 12 metres. c. That the stopping of vehicles be prohibited at any time on the east side of Lyttelton Street, commencing at its intersection with Roberta Drive and extending in a southerly direction for a distance of 117 metres. d. That a Bus Stop be installed on the east side of Lyttelton Street, commencing at a point 117 metres south of its intersection with Roberta Drive and extending in a southerly direction for a distance of 26.5 metres. e. That the stopping of vehicles be prohibited at any time on the east side of Lyttelton Street, commencing at a point 143.5 metres south of its intersection with Roberta Drive and extending in a southerly direction to its intersection with Conway Street. f. That the stopping of vehicles be prohibited at any time on the east side of Lyttelton Street, commencing at its intersection with Conway Street and extending in a southerly direction for a distance of 17 metres. g. That the stopping of vehicles be prohibited at any time on the east side of Lyttelton Street, commencing at a point 72 metres south of its intersection with Conway Street and extending in a southerly direction to its intersection with Stanbury Avenue. h. That the stopping of vehicles be prohibited at any time on the east side of Lyttelton Street, commencing at its intersection with Stanbury Avenue and extending in a southerly direction for a distance of 16.5 metres. i. That the stopping of vehicles be prohibited at any time on the west side of Lyttelton Street, commencing at a point 200 metres south of its intersection with Sparks Road and extending in a southerly direction for a distance of 13 metres. j. That the west side of Lyttelton Street, commencing at a point 213 metres south of its intersection with Sparks Road and extending in a southerly direction for a distance of 22.5 metres, be reserved for Passenger Service Vehicles only, for the purposes of setting down or picking up passengers only, as part of an Excluded Passenger Service as defined in the Land Transport Management Act 2003, Section 5. This restriction is to apply from 8.15am to 8.45am and 2:45pm to 3:15pm on school days. k. That the stopping of vehicles be prohibited at any time on the west side of Lyttelton Street, commencing at a point 237 metres south of its intersection with Sparks Road and extending in a southerly direction for a distance of 5 metres. l. That the stopping of vehicles be prohibited at any time on the west side of Lyttelton Street, commencing at a point 247 metres south of its intersection with Sparks Road and extending in a southerly direction for a distance of 9.5 metres. Lyttelton Street - West Spreydon School m. That the stopping of vehicles be prohibited at any time on the northeast side of Lyttelton Street, commencing at a point 154 metres southeast of its intersection with Wychbury Street and extending in a south-easterly direction for a distance of 51 metres. n. That the stopping of vehicles be prohibited at any time on the south-west side of Lyttelton Street, commencing at a point 157 metres south-east of its intersection with Urella Place and extending in a south-easterly direction for a distance of 44.5 metres. 5. Approves that in accordance with Section 8.2 of the Land Transport Rule – Traffic Control Devices: 2004, that a pedestrian crossing be installed on Lyttelton Street, located 178 metres southeast of its intersection with Wychbury Street, and as detailed on plan 60720368-SHT-SK-4050, dated 27/05/2025 and attached to this report as Attachment B. 6. Revoke any previous resolutions pertaining to traffic controls made pursuant to any bylaw to the extent that they are in conflict with the traffic controls described in resolution 4 and 5 above. 7. Approves that these resolutions take effect when parking signage and/or road markings that evidence the restrictions described in the staff report are in place (or removed in the case of revocations). That the Waihoro Spreydon-Cashmere-Heathcote Community Board recommend that Council: 8. Approves that a Special Vehicle Lane, in accordance with Clause 18 of the Christchurch City Council Traffic and Parking Bylaw 2017 as defined in Section 11.1A of the Land Transport (Road User) Rule 2004: a. For the use of southbound road users, excepting pedestrians and riders of mobility devices, be installed on the east side of Lyttelton Street, commencing at a point 11.5 metres south of its intersection with Frankleigh Street and extending in a southerly direction for a distance of 556.5 metres. b. For the use of northbound users, excepting pedestrians and riders of mobility devices, be installed on the west side of Lyttelton Street, commencing at a point 11 metres south of its intersection with Sparks Road and extending in a southerly direction for a distance of 571 metres. |
In addition to the attached documents, the following background information is available:
|
Document Name – Location / File Link |
|
Not applicable
|
Attachments Ngā Tāpirihanga
|
No. |
Report Title |
Reference |
Page |
|
Spreydon, Somerfield, Waltham, Beckenham CRAF - Lyttelton Street safety improvements |
24/1756989 |
208 |
|
No. |
Title |
Reference |
Page |
|
a ⇩ |
SSWB CRAF - Lyttelton Street, Frankleigh Street to Rose Street |
25/80569 |
218 |
|
b ⇩ |
SSWB CRAF - West Spreydon School pedestrian improvements |
25/412853 |
219 |
1. Purpose and Origin of the Report Te Pūtake Pūrongo
1.1 The purpose of this report is for the Waihoro Spreydon-Cashmere-Heathcote Community Board to consider the Lyttelton Street safety improvements scheme designs following community engagement. This would allow the project to proceed to detailed design and construction.
1.2 The proposed Lyttelton Street safety works are a component of the Barrington Street, Milton Street, Lyttelton Street improvements project, which sits within the Spreydon, Somerfield, Waltham and Beckenham Christchurch Regeneration Acceleration Facility (CRAF) programme.
1.3 The report has been written to address safety improvements of the transport assets on Lyttelton Street.
2. Officer Recommendations Ngā Tūtohu
That the Waihoro Spreydon-Cashmere-Heathcote Community Board:
1. Receives the information in the Spreydon, Somerfield, Waltham, Beckenham CRAF - Lyttelton Street safety improvements Report.
2. Notes that the decision in this report is assessed as low significance based on the Christchurch City Council’s Significance and Engagement Policy.
3. Approves the design, including kerb alignments, raised safety platform, road surface treatments, widening and resurfacing footpaths, tactile pavers, road markings and pedestrian islands as detailed on plans 60720368-SHT-SK-4003, dated 09/06/2025 and 60720368-SHT-SK-4050, dated 27/05/2025 and attached to this report as Attachments A and B.
4. Approves, pursuant to Clause 7 of the Christchurch City Council Traffic and Parking Bylaw 2017:
Lyttelton Street – Frankleigh Street to Rose Street
a. That the stopping of vehicles be prohibited at any time on the east side of Lyttelton Street, commencing at a point 56 metres from its intersection with Frankleigh Street and extending in a southerly direction for a distance of 34 metres.
b. That the stopping of vehicles be prohibited at any time on the east side of Lyttelton Street, commencing at its intersection with Roberta Drive and extending in a northerly direction for a distance of 12 metres.
c. That the stopping of vehicles be prohibited at any time on the east side of Lyttelton Street, commencing at its intersection with Roberta Drive and extending in a southerly direction for a distance of 117 metres.
d. That a Bus Stop be installed on the east side of Lyttelton Street, commencing at a point 117 metres south of its intersection with Roberta Drive and extending in a southerly direction for a distance of 26.5 metres.
e. That the stopping of vehicles be prohibited at any time on the east side of Lyttelton Street, commencing at a point 143.5 metres south of its intersection with Roberta Drive and extending in a southerly direction to its intersection with Conway Street.
f. That the stopping of vehicles be prohibited at any time on the east side of Lyttelton Street, commencing at its intersection with Conway Street and extending in a southerly direction for a distance of 17 metres.
g. That the stopping of vehicles be prohibited at any time on the east side of Lyttelton Street, commencing at a point 72 metres south of its intersection with Conway Street and extending in a southerly direction to its intersection with Stanbury Avenue.
h. That the stopping of vehicles be prohibited at any time on the east side of Lyttelton Street, commencing at its intersection with Stanbury Avenue and extending in a southerly direction for a distance of 16.5 metres.
i. That the stopping of vehicles be prohibited at any time on the west side of Lyttelton Street, commencing at a point 200 metres south of its intersection with Sparks Road and extending in a southerly direction for a distance of 13 metres.
j. That the west side of Lyttelton Street, commencing at a point 213 metres south of its intersection with Sparks Road and extending in a southerly direction for a distance of 22.5 metres, be reserved for Passenger Service Vehicles only, for the purposes of setting down or picking up passengers only, as part of an Excluded Passenger Service as defined in the Land Transport Management Act 2003, Section 5. This restriction is to apply from 8.15am to 8.45am and 2:45pm to 3:15pm on school days.
k. That the stopping of vehicles be prohibited at any time on the west side of Lyttelton Street, commencing at a point 237 metres south of its intersection with Sparks Road and extending in a southerly direction for a distance of 5 metres.
l. That the stopping of vehicles be prohibited at any time on the west side of Lyttelton Street, commencing at a point 247 metres south of its intersection with Sparks Road and extending in a southerly direction for a distance of 9.5 metres.
Lyttelton Street - West Spreydon School
m. That the stopping of vehicles be prohibited at any time on the northeast side of Lyttelton Street, commencing at a point 154 metres southeast of its intersection with Wychbury Street and extending in a south-easterly direction for a distance of 51 metres.
n. That the stopping of vehicles be prohibited at any time on the south-west side of Lyttelton Street, commencing at a point 157 metres south-east of its intersection with Urella Place and extending in a south-easterly direction for a distance of 44.5 metres.
5. Approves that in accordance with Section 8.2 of the Land Transport Rule – Traffic Control Devices: 2004, that a pedestrian crossing be installed on Lyttelton Street, located 178 metres southeast of its intersection with Wychbury Street, and as detailed on plan 60720368-SHT-SK-4050, dated 27/05/2025 and attached to this report as Attachment B.
6. Revoke any previous resolutions pertaining to traffic controls made pursuant to any bylaw to the extent that they are in conflict with the traffic controls described in resolution 4 and 5 above.
7. Approves that these resolutions take effect when parking signage and/or road markings that evidence the restrictions described in the staff report are in place (or removed in the case of revocations).
That the Waihoro Spreydon-Cashmere-Heathcote Community Board recommend that Council:
8. Approves that a Special Vehicle Lane, in accordance with Clause 18 of the Christchurch City Council Traffic and Parking Bylaw 2017 as defined in Section 11.1A of the Land Transport (Road User) Rule 2004:
a. For the use of southbound road users, excepting pedestrians and riders of mobility devices, be installed on the east side of Lyttelton Street, commencing at a point 11.5 metres south of its intersection with Frankleigh Street and extending in a southerly direction for a distance of 556.5 metres.
b. For the use of northbound users, excepting pedestrians and riders of mobility devices, be installed on the west side of Lyttelton Street, commencing at a point 11 metres south of its intersection with Sparks Road and extending in a southerly direction for a distance of 571 metres.
3. Executive Summary Te Whakarāpopoto Matua
3.1 In August 2022, staff presented a package of improvements to the Waihoro Spreydon-Cashmere and Waikura Linwood-Central-Heathcote Community Boards (Agenda, Item 5). The Community Boards jointly approved a number of projects for the Spreydon, Somerfield, Waltham, Beckenham CRAF programme (Minutes, Item 5) which included a package of improvements for Barrington Street, Milton Street and Lyttelton Street.
3.2 The Community Boards requested staff to investigate a number of improvements on Lyttelton Street.
3.2.1 The following sites on Lyttelton Street were identified as Board priorities for improvement:
· A bus bay outside Te Kura Kaupapa Maori O Te Whanau Tahi School on Lyttelton Street.
· Raising the existing crossing outside Te Ara Koropiko West Spreydon School on Lyttelton Street.
· Cycle lanes on Lyttelton Street between Frankleigh Street and Rose Street.
· Green paint at conflict points on Lyttelton Street between Lincoln Road and Rose Street.
Te Kura Kaupapa Maori O Te Whanau Tahi School – Lyttelton Street
3.3 The recommended option is to install improved pedestrian and cycle facilities, as shown in Attachment A, and summarised below:
· An extended bus bay, to operate for before and after school drop offs and pick-ups (8.15am – 8.45am and 2.45pm – 3.15pm) on the west side of Lyttelton Street near the entrance to the school. This space will be available for parking outside of these hours.
· New cycle lanes, on both sides of Lyttelton Street between Rose Street and Frankleigh Street.
· Minor relocation of the existing three pedestrian refuge islands to allow space for the new cycle lanes.
3.4 Staff are recommending the proposed improvements as this will provide safer crossing facilities with improved refuge islands, additional space for a safer school bus drop off and pick up location. It also provides safe on road cycle facilities through this section of Lyttelton Street, connecting with the existing cycle lanes on Lyttelton Street north of Frankleigh Street.
Te Ara Koropiko West Spreydon School
3.5 The recommended option is to raise the existing pedestrian crossing outside Te Ara Koropiko West Spreydon School, as shown in Attachment B, and summarised below:
· Raised existing pedestrian crossing
· Red paint on the approaches
· Green paint on existing cycle lanes
3.6 Staff are recommending the proposed improvements as this will provide a safer school crossing facility for students at Te Ara Koropiko West Spreydon School and the wider community.
3.7 Once final costs for the above works are known, additional projects identified within this package for Milton Street and Barrington Street will be investigated if there is surplus budget in the project.
4. Background/Context Te Horopaki
4.1 CRAF is a funding package from the Treasury for transport projects in Christchurch. The CRAF investment in roading and transport improvements will address condition and safety and access issues. It will act as a catalyst towards the development of a high-quality, safe and reliable transport network.
4.2 Lyttelton Street has been identified as an important link for pedestrians and cyclists as part of the initial street reviews and through public consultation, with several schools and Centennial Park being high use destinations. The northern end of Lyttelton Street has traffic flows of over 8,000 vehicles per day, and the 85th percentile vehicle speed is 56km/h; and the southern end has traffic flows of over 6,000 vehicles per day, and the 85th percentile vehicle speeds is 48.2 km/h.
4.3 The Community Boards requested staff to work closely with key stakeholders to understand their needs for this project. Schools in the area advised the project team of the improvements they would like that aligned with the project objectives, which were later developed and included in the plan for consultation.
Te Kura Kaupapa Maori O Te Whanau Tahi School – Lyttelton Street
4.4 Many pupils at Te Kura Kaupapa Maori O Te Whanau Tahi School are from out of zone and are being dropped off by private vehicle or buses to the school.
4.5 The roll at the kura is currently at 212 and is expected to reach 250 students by the end of 2025.
4.6 The kura runs three buses every day to drop off and pick up students from across the city.
4.7 There is a housing development at 87 Lyttelton Street (just north of the school) that may impact travel demand on Lyttelton Street.
4.8 Centennial Park, a major sports park, Pioneer Recreation Sports Centre and the Lyttelton Street Playcentre are also located in this section of Lyttelton Street.
Te Ara Koropiko West Spreydon School
4.9 The roll at the kura is approximately 300 students and caters for years 1 to 6.
4.10 The speed limit on Lyttelton Street is 50km/h with a variable speed limit of 30km/h outside Te Ara Koropiko West Spreydon School.
4.11 The existing pedestrian crossing is not raised and operates as a school kea crossing.
4.12 Improvements on Lyttelton Street are designed to improve safety and accessibility. These changes will benefit students attending Te Ara Koropiko West Spreydon School and Te Kura Kaupapa Māori o Te Whānau Tahi, both located on Lyttelton Street within the project areas. The changes will also improve safety and access for users of Centennial Park and Pioneer Sports Stadium in the section of Lyttelton Street between Frankleigh Street and Rose Street.
4.13 The following related information session/workshops have taken place for the members of the meeting:
|
Date |
Subject |
|
12 August 2022 |
Confirmation of Spreydon, Somerfield, Waltham and Beckenham Christchurch Regeneration Acceleration Facility (CRAF) programme https://christchurch.infocouncil.biz/Open/2022/08/JLSB_20220812_AGN_8150_AT.htm |
|
29 August 2024 |
Spreydon, Somerfield, Waltham, Beckenham CRAF – Project Update https://christchurch.infocouncil.biz/Open/2024/08/ISWS_20240829_AGN_10060_AT.PDF |
Options Considered Ngā Kōwhiringa Whaiwhakaaro
4.14 The following reasonably practicable options were considered and are assessed in this report:
4.14.1 Option 1 – Lyttelton Street safety improvements as shown in Attachments A and B.
4.14.2 Option 2 – Do nothing.
4.15 The following options were considered but ruled out:
4.15.1 Relocate the crossing outside Te Ara Koropiko West Spreydon School 40 metres north – this was ruled out as the crossing would be between two exit/entry points to the school rather than close to one and away from the connection through to Windsor Crescent. This could lead to an increased number of people crossing the road without using the zebra crossing. This would also require the loss of eight carparks and the removal of two street trees, relocation of pedestrian lights and more extensive drainage works.
4.15.2 In most cases, the interventions recommended within this report are distinct and could be installed individually. However, proposing a large number of combinations would likely not help with decision-making, so staff have not included this. However, further advice regarding combinations of the interventions can be supplied to Board on request.
Options Descriptions Ngā Kōwhiringa
4.16 Preferred Option: Lyttelton Street safety improvements
4.16.1 Option Description: Safety improvements including cycle lanes and green paint at conflict points, new school bus bay, and raising existing school crossing with red paint on the approaches.
4.16.2 Option Advantages
· Meets project objectives.
· Aligns with community feedback.
· Aligns with feedback from local schools.
· Provides a cycle network that connects from Rose Street to cycling facilities on Lyttelton Street north of Frankleigh Street.
· Provides improved crossing facilities for two local school students and residents.
· Relocation of school pedestrian crossing slightly north of existing location providing more space for vehicle movements at the school gate at Te Ara Koropiko West Spreydon School.
· Provides a safe school bus drop off and pick up location for Te Kura Kaupapa Māori o Te Whānau Tahi.
· Slows down traffic before pedestrian crossing approaches.
· Allows for improvements to be delivered within the project budget.
4.16.3 Option Disadvantages
· Loss of 10 carparks on Lyttelton Street between Frankleigh Street and Rose Street to accommodate the cycle facility.
· Does not allow for any improvements to the landscaping.
4.17 Option 2 – Do nothing
4.17.1 Option Description: Lyttelton Street remains as it is.
4.17.2 Option Advantages
· Budget can be spent elsewhere.
· No parking loss on Lyttelton Street within the project area.
4.17.3 Option Disadvantages
· Does not meet the project objectives.
· Does not improve pedestrian safety at both school locations.
· Does not provide cycle lanes and additional safety improvements for cyclists.
· Does not provide bus parking improvements for Te Kura Kaupapa Maori O Te Whanau Tahi School.
5. Financial Implications Ngā Hīraunga Rauemi
Capex/Opex Ngā Utu Whakahaere
|
|
Recommended Option 1 |
Option 2 – Do nothing |
|
Cost to Implement |
$700,000.00 |
No further expenditure |
|
Maintenance/Ongoing Costs |
Negligible above existing maintenance allowances |
No change to existing |
|
Funding Source |
LTP Budget 73836 – Spreydon, Somerfield, Waltham, Beckenham CRAF – Barrington Street, Milton Street, Lyttelton Street improvements |
N/A |
|
Funding Availability |
Funds are available |
N/A |
|
Impact on Rates |
Funded from external sources, so no impact on rates |
N/A |
5.1 The cost estimate is a detailed scheme phase estimate. The final cost will be completed at detailed design by the contractor.
6. Considerations Ngā Whai Whakaaro
Risks and Mitigations Ngā Mōrearea me ngā Whakamātautau
6.2 Safety: The proposal includes traffic safety measures that will reduce risk for all road users at these locations. The safety assessment shows that the proposal has benefits for all road users.
6.3 Public Perception: Cycle lanes and parking loss can generate negative feedback however the scheme has retained as much parking as possible, with the loss of just 10 carparks.
Legal Considerations Ngā Hīraunga ā-Ture
6.4 Statutory and/or delegated authority to undertake proposals in the report:
6.4.2 The installation of any signs and/or marking associated with traffic control devices must comply with the Land Transport Rule: Traffic Control Devices 2004.
6.4.3 Part 1, Clause 7 of the Christchurch City Council Traffic and Parking Bylaw 2017 provides Council with the authority to install parking or stopping restrictions by resolution.
6.5 Other Legal Implications:
6.5.1 There is no legal context, issue, or implication relevant to this decision.
Strategy and Policy Considerations Te Whai Kaupapa here
6.6 The required decisions:
6.6.1 Align with the Christchurch City Council’s Strategic Framework.
6.6.2 Are assessed as low significance based on the Christchurch City Council’s Significance and Engagement Policy 2019. The level of significance was determined by the low number of people affected and/or with an interest, limited benefits/opportunities and costs/risks to Council, and modest level of community influence.
6.7 This report supports the Council's Long Term Plan (2024 - 2034):
6.8 Transport
6.8.1 Activity: Transport
· Level of Service: 10.5.1 Limit deaths and serious injury crashes per capita for cyclists and pedestrians - <=12 crashes per 100,000 residents
· Level of Service: 10.5.3 More people are choosing to travel by cycling - >=12,500 average daily cyclist detections
· Level of Service: 10.5.42 Increase the infrastructure provision for active and public modes - >= 625 kilometres (total combined length)
· Level of Service: 16.0.10 Maintain the perception (resident satisfaction) that Christchurch is a walking friendly city - >=85% resident satisfaction
Community Impacts and Views Ngā Mariu ā-Hāpori
Public Consultation Te Tukanga Kōrerorero
6.9 Te Ara Koropiko West Spreydon School were engaged from December 2023. They were supportive of the initial scheme advising that they often observe high speeds from vehicles travelling through the pedestrian crossing and that visibility is limited as the school’s driveway is located right on the crossing.
6.10 Te Kura Kaupapa Māori o Te Whānau Tahi were also engaged from December 2023 to understand if they had any issues with crossing to or parking near their kura. A bus bay to service the kura was identified as a need and included in the consultation plans.
6.11 Cashmere High School were engaged in February 2024. They questioned whether the additional cycle connection was required, as they had observed students using the cycle path through Centennial Park.
6.12 Staff discussed the project with Lyttleton Street Playcentre via email in August 2024. They would like support in finding alternative parking locations, as the whānau using their facility typically park on both sides of the road and stay for the duration of the session (9am-1pm). They suggested that the park next to the centre could be turned into a carpark, however this is outside the scope of this project. They have contacted Pioneer Recreation Centre about an informal relationship for parents to park there.
6.13 Public consultation ran from 11 to 29 September 2024. An email was sent to 55 key stakeholders including emergency services, residents’ associations, local schools and businesses, and known users of Centennial Park. The consultation was posted on seven local Facebook community pages, inviting submissions on the Kōrero mai | Let’s talk webpage.
6.14 Consultation documents were delivered to residents of Lyttelton Street (between Sparks Road and Rose Street, and Stourbridge Street to Wychbury Street) on 11 September 2024. Documents were also available at Pioneer Recreation and Sports Centre.
Summary of Submissions Ngā Tāpaetanga
6.15 Submissions were made by Environment Canterbury, Spreydon Neighbourhood Network, Spokes Canterbury, Te Kura Kaupapa Māori o Te Whānau Tahi, Lyttelton Street Dairy and 80 individuals. All submissions are available on the Kōrero mai webpage.
6.16 53 submitters discussed the proposed crossing upgrade outside Te Ara Koropiko West Spreydon School. Of these, 33 (60%) clearly stated their support while eight (15%) clearly stated their opposition. The remaining 12 provided arguments for and against the proposal or had observations or requests.
· The most common feedback in support of the crossing was:
· Safety (11)
· Slowing vehicles down (10)
· The most common feedback critiquing the crossing was:
· Waste of money (5)
· It’s unnecessary - the crossing is well-supervised when it needs to be (4)
· Five submitters requested the inclusion of a safe crossing point at Lyttelton Street/Neville Street intersection.
6.17 33 submitters discussed the proposed bus bay outside Te Kura Kaupapa Māori O Te Whānau Tahi School. Of these, 23 (70%) clearly stated their support while one (3%) clearly stated their opposition. The remaining nine provided mixed feedback or had observations or requests.
· The most common feedback in support of the bus bay was safety and accessibility improvements for school students (4).
6.18 71 submitters discussed the proposed addition of a cycle lane on both sides of Lyttelton Street, from Sparks Road to Rose Street. Of these, 40 (56%) clearly stated their support of this while 14 (20%) clearly stated their opposition. The remaining 17 provided mixed feedback or had observations or requests.
· The most common feedback in support of the cycle lanes was enhanced safety for cyclists (16).
· The most common feedback critiquing the cycle lanes was:
· Parking loss (16). Note: seven submitters mentioned their support of parking loss as part of the plan or requested the removal of more.
· There is already a cycle lane through Centennial Park (9)
· Not required (7)
· Waste of money (4)
· Four submitters requested better provision for cyclists and pedestrians crossing at the Pioneer Recreation and Sports Centre entrance.
6.19 The decision affects the following wards/Community Board areas:
6.19.1 Waihoro Spreydon-Cashmere-Heathcote Community Board
Impact on Mana Whenua Ngā Whai Take Mana Whenua
6.20 The decision does not involve a significant decision in relation to ancestral land, a body of water or other elements of intrinsic value, therefore this decision does not specifically impact Mana Whenua, their culture, and traditions.
6.21 The decision does not involve a matter of interest to Mana Whenua and will not impact on our agreed partnership priorities with Ngā Papatipu Rūnanga.
Climate Change Impact Considerations Ngā Whai Whakaaro mā te Āhuarangi
6.22 The decisions in this report are likely to:
6.22.1 Contribute positively to adaptation to the impacts of climate change.
6.22.2 Contribute positively to emissions reductions.
6.23 The proposals in this report are unlikely to contribute significantly to adaptation to the impacts of climate change or emissions reductions.
6.24 This is a minor scheme and will not have a significant impact, however it will provide safer crossings and cycle facilities for the local residents, park users and nearby schools.
7. Next Steps Ngā Mahinga ā-muri
7.1 If approved staff will progress the scheme to detailed design and construction.
Attachments Ngā Tāpirihanga
|
No. |
Title |
Reference |
Page |
|
a |
SSWB CRAF - Lyttelton Street, Frankleigh Street to Rose Street |
25/80569 |
|
|
b |
SSWB CRAF - West Spreydon School pedestrian improvements |
25/412853 |
|
In addition to the attached documents, the following background information is available:
|
Document Name – Location / File Link |
|
|
Signatories Ngā Kaiwaitohu
|
Authors |
Ann Tomlinson - Project Manager Hannah Ballantyne - Senior Engagement Advisor |
|
Approved By |
Jacob Bradbury - Manager Planning & Delivery Transport Tony Richardson - Finance Business Partner Lynette Ellis - Head of Transport & Waste Management |
1. Purpose and Origin of the Report Te Pūtake Pūrongo
1.1 The purpose of this report is for the Council to consider a development contributions remission application from The Arts Centre. The Arts Centre have been levied a development contribution of $17,019.70, under RMA/2024/3600, being a resource consent for the establishment of 20 food trucks.
1.2 The Arts Centre is requesting the Council to remit development contributions under clause 6.3.2 of the Council’s Development Contributions Policy 2021 which provides for the remission of development contributions in “unique and compelling circumstances”.
2. Officer Recommendations Ngā Tūtohu
That the Council:
1. Receives the information in the Development Contributions Remission Application - The Arts Centre Report.
3. Declines the Development Contributions remission application from the Arts Centre for $17,019.70 in accordance with the Development Contributions Policy 2021 as it is considered that unique and compelling circumstances do not sufficiently exist to justify a remission of development contribution.
4. Notes that if the remission is declined, staff will discuss a payment plan with the Arts Centre to allow the payment of the $17,019.70 to occur over a 24-month timeframe.
3. Executive Summary Te Whakarāpopoto Matua
3.1 This report presents a request from The Arts Centre for remission of development contributions totalling $17,019.70, levied under resource consent RMA/2024/3600 for the establishment of 20 permanent food trucks on site. The Arts Centre seeks remission under clause 6.3.2 of the Council’s Development Contributions Policy 2021, citing “unique and compelling circumstances” relating to its heritage status and charitable objectives.
3.2 While the Arts Centre plays a significant cultural and historical role in Christchurch and receives ongoing financial support from the Council, the current Development Contributions Policy does not include a general exemption for heritage buildings or charitable organisations.
3.3 The Council has previously approved very few remission applications, and each has been considered an exceptional case. The Council needs to consider whether the application meets the high threshold of being sufficiently “unique and compelling” to warrant remission under the current policy framework.
4. Background/Context Te Horopaki
4.1 The Arts Centre Christchurch has applied for a remission of Developments Contributions of $17,019.70 which were levied under RMA/2024/3600. The Resource Consent is to establish 20 food-trucks at the Arts Centre on a permanent basis. A copy of the remission application is attached to this report as Attachment C.
4.2 The Arts Centre also applied for a reconsideration of the Development Contributions Assessment on the grounds that the assessment was incorrect, however, the reconsideration was declined as the assessment was completed in accordance with the DC Policy 2021.
4.3 The application notes that the Arts Centre Trust is a charity and limited by the Arts Centre of Christchurch Trust Act 2015[1]. The letter also describes the Arts Centre being protected as a heritage item while noting it is restrictive. A copy of the application is attached to this report and their main points are summarised below.
4.3.1 The Arts Centre is in the process of being recognised by Heritage NZ Pouhere Taonga as a National Historic Landmark.
4.3.2 The Arts Centre is the largest group of protected heritage buildings in the country.
4.3.3 The heritage protections can be restrictive; those restrictions would make the cost of converting one building into a food court unviable.
4.3.4 They are constrained by the Arts Centre of Christchurch Trust Act 2015 and cannot undertake any activity they please in order to grow their revenue. Clause 5(2) of the Act states “All income, benefits, and advantages received by or accruing to the trust board must be applied for a charitable purpose in advancing the trust’s objects.”
4.3.5 They are visited by almost one million people each year and must provide these visitors with facilities and activities.
4.3.6 They are competing in an open market with other central city businesses that do not have the same restrictions.
4.4 The proposal did draw attention several months ago from some other established businesses who were concerned that food-trucks amounted to unfair competition. This was because they do not carry the same overheads.
5. Development Contributions
5.1 The Council requires development contributions in accordance with Sections 197, 198(2) and 199 of the Local Government Act and in accordance with its Development Contributions Policy. Development contributions enable the Council to require developers to make a fair contribution towards the provision of growth infrastructure. Without this revenue stream, these costs would fall entirely on ratepayers.
5.2 The Development Contributions Policy 2021 (DC Policy)[2] states that the Council can only remit payment of development contributions in unique and compelling circumstances. The term ‘unique and compelling’ is not defined in the Development Contributions Policy. However, a dictionary definition describes ‘unique’ as ‘having no like or equal’, ‘remarkable’ or ‘unusual, and ‘compelling’ as ‘not able to be refuted’, convincing’ or ‘persuasive’. The decision for the Council is largely based on whether it considers a specific situation to be unique and compelling in the sense that it is such a remarkable case that it justifies a remission to be granted.
5.3 The Council can also develop a rebate scheme to waive development contributions where strategic outcomes are sought. There are no rebate schemes that would relate to the Arts Centre site or food-trucks.
5.4 Two remission applications have previously been approved for The Cancer Society, and The Brain Tree Trust, on the basis that both organisations were considered unique and compelling circumstances. This related to the specific services they provided.
5.5 A further remission was approved to adapt and reuse Spreydon Lodge as a café/restaurant as part of Halswell Commons – being part of an exemplar development site following the earthquakes. However, this development did not proceed. All other requests for remissions have been declined.
6. Discussion
6.1.1 $500,000 per annum for the life of the Long-Term Plan (10 Years).
6.1.2 $250,000 from the Capital Endowment Fund in FY24/25 and in FY25/26.
6.1.3 Noted the continuation of $110,000 per year in FY24/25 and FY25/26 from the Strengthening Communities Fund.
6.1.4 In addition to the above, they have received grants through various funds and information on these are attached as Attachment B.
6.2 At the Long-Term Plan meeting on 25 June 2024, the Council requested staff to work with the Arts Centre to develop a sustainable funding model and asset management plan, and report back in time for the Annual Plan process for Year three of the Long-Term Plan. Staff will report back to the Council on this separately.
6.3 In addition to the funding provided by the Council, the food truck operators pay a monthly licence fee. Details of these fees are attached to this report as Public Excluded Attachment A. The agreements are on a month-to-month basis, with no long-term commitments.
6.4 While each remission request must be assessed on its own merits, any remission granted must clearly demonstrate that the development qualifies as “unique and compelling.”
6.5 The Arts Centre’s value to Christchurch is undeniable. Its heritage values are significant, and the heritage buildings are notable in a national context, reflected in its Category 1 heritage listing by Heritage NZ Pouhere Taonga.
6.6 Notwithstanding the importance of the site in a national, regional and local context, the resource consent against which the development contributions are payable is for 20 permanent food trucks.
6.7 Consistency and clarity in applying the Policy are essential. Granting a remission may not align with the Council’s advice to move toward greater commercial sustainability. Other charities and heritage buildings have also been required to pay development contributions, as have other food truck operators.
6.8 Approving a remission in this case could set a precedent for similar developments and on this basis, it is recommended that the application for a remission be declined. Staff note this is a finely balanced recommendation given the significance the of the Arts Centre to Christchurch and the initiative to generate more income from the site.
Options Considered Ngā Kōwhiringa Whaiwhakaaro
6.9 The following reasonably practicable options were considered and are assessed in this report:
6.9.1 Decline the remission application.
6.9.2 Approve the remission application.
6.9.3 Approve a partial remission of the application.
Options Descriptions Ngā Kōwhiringa
6.10 Preferred Option: Decline the remission application.
6.10.1 Option Description: The application for remission of the development contributions payable by the Arts Centre Trust ($17,019.70) is declined.
6.10.2 Option Advantages
· It aligns with the Council’s current Development Contributions Policy 2021 that there are not unique and compelling circumstances.
· Costs will fall to the Trust rather than the ratepayer.
6.10.3 Option Disadvantages
· It will increase costs for the Arts Centre.
· It may negate the benefits for the Arts Centre of additional revenue associated with the food trucks.
6.11 Option 2: Approve the remission application of $17,019.70.
6.11.1 Option Description: The application for remission of the development contributions payable by the Arts Centre Trust ($17,019.70) is approved.
6.11.2 Option Advantages
· The Arts Centre Trust benefit from the additional revenue associated with the food trucks without the expense of development contributions.
· The amount remitted contributes towards the Trust’s objects in accordance with clause 5(2) of the Arts Centre of Christchurch Trust Act 2015.
6.11.3 Option Disadvantages
· It does not align with the Council’s current Development Contributions Policy as it is not considered that unique and compelling circumstances sufficiently exist.
· Costs will fall to the ratepayer rather than the Trust.
· It sets a precedent for other circumstances that are similar in nature such that the integrity of the Policy is eroded.
· It may be viewed as supporting business activities in an inequitable manner i.e., the Council not contributing to the costs that other businesses incur.
6.12 Option 3: Approve a partial remission of the application
6.12.1 Option Description: The application for remission of the development contributions payable by the Arts Centre Trust is partially approved, with a reduction in the amount payable.
6.12.2 Option Advantages
· Same as Option 2 but to a lesser extent
6.12.3 Option Disadvantages
· Same as Option 2 but to a lesser extent
Analysis Criteria Ngā Paearu Wetekina
6.13 The considerations in evaluating the options include the following:
6.13.1 Whether it is in accordance with the Development Contributions Policy 2021.
6.13.2 Any precedent, effect or impact on the integrity of the Policy.
6.13.3 Who bears the costs of the remission.
7. Financial Implications Ngā Hīraunga Rauemi Capex/Opex Ngā Utu Whakahaere
|
|
Recommended Option Decline the remission application |
Option 2 – Approve the remission |
Option 3 – Approve a partial remission |
|
Cost to Implement |
Nil |
Nil |
Nil |
|
Maintenance/Ongoing Costs |
Nil |
$1,400 per annum over 30 years. |
% of $1,400 per annum over 30 years, proportionate to remission granted. |
|
Funding Source |
N/A |
Rates |
Rates |
|
Funding Availability |
N/A |
Via debt |
Via debt |
|
Impact on Rates |
Nil |
0.0001% |
% of 0.0001% p. a, proportionate to remission granted. |
7.1 If the development contributions are remitted, the amount remitted will need to be funded from rates. As development contributions revenue is largely used to repay debt incurred to fund infrastructure to service growth, the cost of the remission will be funded over time as though it is debt.
8. Considerations Ngā Whai Whakaaro
Risks and Mitigations Ngā Mōrearea me ngā Whakamātautau
8.1 As set out below, approving a remission may set a precedent and an expectation that other similar applications be accepted.
Legal Considerations Ngā Hīraunga ā-Ture
8.2 Statutory and/or delegated authority to undertake proposals in the report:
8.2.1 The Council’s ability to levy development contributions comes from section 198 of the Local Government Act 2002. This is a discretionary power, meaning that the Council retains the discretion to remit a development contribution if it chooses to do so. This discretion has not been sub-delegated.
8.2.2 Clause 4.2.1 of the Council’s Development Contributions Policy 2021 provides that the Council will exercise its discretion in “unique and compelling” circumstances and that Council officers will provide the Council with a report such as this analysing whether the remission should be granted.
8.2.3 Approving a remission may set a precedent and set an expectation that other similar applications be accepted. The Council has previously approved remissions for two charitable organisations (see paragraph 5.4 above).
8.3 Other Legal Implications:
8.3.1 There is no other legal context, issue, or implication relevant to this decision.
Strategy and Policy Considerations Te Whai Kaupapa here
8.4 The required decision:
8.4.1 Aligns with the Christchurch City Council’s Strategic Framework, in particular the community outcome to be a thriving and prosperous city.
8.4.2 Is assessed as low significance based on the Christchurch City Council’s Significance and Engagement Policy. The level of significance was determined by the number of persons affected by the remission.
8.4.3 Is consistent with the Council’s Plans and Policies. The Council’s Development Contributions Policy 2021 provides for the Council to approve remission applications in unique and compelling circumstances, which do not apply here.
Community Impacts and Views Ngā Mariu ā-Hāpori
8.5 The remission application from the Arts Centre Trust does not have wider impacts on the community beyond the Arts Centre Trust. Notwithstanding this, there may be secondary impacts associated with the costs incurred by the Trust in paying the development contributions i.e. reduced revenue towards the objects of the Arts Centre and wider public benefits.
8.6 The decision affects the following wards/Community Board areas:
8.6.1 Waipapa Papanui-Innes-Central Community Board.
Impact on Mana Whenua Ngā Whai Take Mana Whenua
8.7 The decisions do not involve a significant decision in relation to ancestral land, a body of water or other elements of intrinsic value, therefore this decision does not specifically impact Mana Whenua, their culture, and traditions.
8.8 The decisions do not involve a matter of interest to Mana Whenua and will not impact on our agreed partnership priorities with Ngā Papatipu Rūnanga
8.9 The consideration of the development contributions remission is directly related to the Arts centre and has no impact of Mana Whenua, their culture, and traditions.
Climate Change Impact Considerations Ngā Whai Whakaaro mā te Āhuarangi
8.10 The proposals in this report are unlikely to contribute significantly to adaptation to the impacts of climate change or emissions reductions.
8.11 The consideration of the development contributions remission does not impact climate change.
9. Next Steps Ngā Mahinga ā-muri
9.1 If the Council declines the application for a remission as per the Officer recommendation, staff will notify the Arts Centre Trust of the Council’s decision in writing. If declined, staff could explore a payment plan over 24 months to ease the financial burden.
9.2 If the Council approves the application for a remission, staff will make the necessary arrangements to remit the development contributions payable.
Attachments Ngā Tāpirihanga
|
No. |
Title |
Reference |
Page |
|
Arts Centre Food Vendor licence fees. (Under Separate Cover) - Confidential |
25/1419074 |
|
|
|
b ⇩ |
Arts Centre previous funding |
25/1415251 |
228 |
|
c ⇩ |
Arts Centre Development Contributions Remission Application |
25/1501858 |
229 |
In addition to the attached documents, the following background information is available:
|
Document Name – Location / File Link |
|
Not applicable
|
Signatories Ngā Kaiwaitohu
|
Authors |
Katrina Mansell - Team Leader Planning & Consents Support Mark Stevenson - Head of Planning & Consents Andrew Campbell - Legal Counsel |
|
Approved By |
Mark Stevenson - Head of Planning & Consents John Higgins - General Manager Strategy, Planning & Regulatory Services |
1. Purpose and Origin of the Report Te Pūtake Pūrongo
1.1 The purpose of this report is to seek a decision from the Council regarding the future use of the Council-owned land and buildings located at 151/153 Gilberthorpes Road.
1.2 The Council approved the sale of the property in June 2021. At its 4 September 2024 Council meeting in accordance with Standing Order 6.8:
“Item 13 – 151 Gilberthorpes Road – Future Use issues and Options was withdrawn from the agenda on the basis that new information was presented at the meeting and to allow time for staff to come back with further information on use of the facility by interested community groups”.
1.3 This report is staff generated and outlines the current status of the property, presents viable options for its future use, and recommends a course of action to address the ongoing inertia.
1.4 The recommendations ensure that the site will be used in a way that aligns with the Council’s strategic priorities, delivers value to the community, and supports long-term sustainability for the site.
2. Officer Recommendations Ngā Tūtohu
That the Council:
1. Receives the information in the 151/153 Gilberthorpes Road - Future Use Issues and Options Report.
2. Notes that the decision in this report is assessed as low significance based on the Christchurch City Council’s Significance and Engagement Policy.
a. The Purapura Whetu Trust being responsible for securing all required resource, building or other statutory consents required to operate from the Land; and
b. The sale being at a financially viable figure having regard to market value.
4. Authorises the Property Consultancy Manager to do all things necessary to make any decisions at his sole discretion that are consistent with the intent of this report to implement the recommendation above including but not limited to finalising the documentation necessary to implement the sale.
5. Notes that staff will continue to work with the MenzShed and the Philipino Church (if required) to help meet their needs at other existing Council owned community locations.
3. Executive Summary Te Whakarāpopoto Matua
3.1 The sale of the Council owned property at 151/153 Gilberthorpes Road was approved by the Council through the Council’s Long Term Plan 2021 - 31.
3.2 An initial Expression of Interest (EOI) process was conducted in 2022, followed by a second process, at the request of Council, in 2023. Both processes attracted proposals from local community groups, however, none of the submissions were assessed as sustainable or financially viable in the long term.
3.3 In September 2024, a staff report was due to be presented to the Council recommending the sale of the property at 151/153 Gilberthorpes Road.
3.4 This recommendation was prompted by growing interest from several community-based entities expressing a desire to develop the site for social and affordable housing. The staff report acknowledged that, while previous EOI processes had not yielded viable proposals, the renewed interest in housing development presented a potential opportunity to repurpose the site in a way that aligned with the Council’s strategic objectives and address local housing needs.
3.5 Following deputations to the Council, the September 2024 staff report recommending the sale of the property was withdrawn. The Council resolved to provide community-based groups with additional time to develop and submit proposals for the future use of the site.
3.6 To facilitate this, a Request for Proposal (RFP) process was initiated in March 2025. The outcome of this process forms the basis and purpose of this report, which seeks a decision on the future use of the property at 151/153 Gilberthorpes Road.
3.7 Following the RFP process, three proposals were received from not-for-profit community-based entities: Purapura Whetu Trust, Home Capital Partners, and Philipino Church (God’s Ministry Christian Church).
3.8 Each proposal was evaluated against a set of criteria designed to ensure alignment with Council objectives and long-term viability. The criteria included: conceptual plan, funding and financial viability, capability and experience, and community impact.
3.9 Following this evaluation, the proposal from Purapura Whetu Trust was identified as the preferred option. Staff recommend the sale of the property to Purapura Whetu Trust based on the strength of their submission and its potential to deliver meaningful outcomes for the local community.
4. Background/Context Te Horopaki
Context
4.2 The property (the land and the Hall and Barracks buildings) has been vacant since January 2022.
4.3 An initial Expression of Interest (EOI) in 2022 sought proposals from parties interested in taking over ownership of the property on an as is where is, no cost to Council, basis.
4.4 Four EOI’s were received from commercial entities interested in clearing the site for development as social / affordable housing. A further EOI from a coalition of Hornby Community groups was declined on the basis that it lacked a sustainable business case and a staff assessment that the coalitions property requirements could be satisfied within other existing Council owned community facilities.
4.5 Subsequent steps to sell the property were suspended following the Council’s approval of a Notice of Motion at its March 2023 meeting (CNCL/2023/00025) which required staff to:
“Put on hold the commencement of the sale of 151-153 Gilberthorpes Road, Hornby, for at least 6 months to allow time for the community to refine their work on alternative options, including community ownership and operation of part or all of the facility, noting that there has been insufficient time for this to occur in robust and genuine manner”.
4.6 Two alternative EOI proposals on behalf of the coalition of Hornby groups were subsequently received. The resulting staff report to be considered at the 4 September 2024 Council meeting recommended that the Council sell the property as the two proposals failed to provide for a sustainable, financial, no cost to ratepayer solution.
4.7 However, in accordance with Standing Order 6.8, the report was withdrawn as follows: “Item 13 – 151/153 Gilberthorpes Road - Future Use Issues and Options was withdrawn from the agenda on the basis that new information was presented at the meeting and to allow time for staff to come back with further information on use of the facility by interested community groups (referenced as “MenzShed, the Philipino Church, etc”).
4.8 As such, the future use of the vacant property has been the subject of continued discussions, meetings and reports over a four-year period and there is yet to be a decision about the future use of the property.
4.9 To address this inertia, and to enable the Council to reach a decision based on sound community and social outcomes, and sustainable financial principles, a Request for Proposal (RFP) process was initiated, the outcome of which is the purpose of this report.
The Property
4.10 The property is situated on the corner of Gilberthorpes Road and Kaniere Avenue in Hei Hei. Access is currently off Gilberthorpes Road. The fee simple site has a land area of 3146m2 and is held in two contiguous titles outlined green and pink in Figure 1 below.
151 Gilberthorpes Road (Green) – Part Lot DP 9514 and Part Lot DP 15320 (CB674/99) – 2245m2.
153 Gilberthorpes Road (Pink) – Lot 2 DP 20850 (CB6C/339) – 901m2.
|
|
|
|
Figure 1 |
Figure 2 |
4.11 There are two buildings on the site.
4.12 The Hall Building (A), constructed circa 1960, is a single-storey portal framed building with reinforced and filled concrete masonry walls. It incorporates a main hall with ancillary office and kitchen space and rear toilet block with a gross floor area of around 200m2.
4.13 The Administration Building (B) comprises a number of interconnected single storey former barrack buildings of weatherboard construction dating from the 1940’s, providing general office and toilet facilities.
4.14 The land and buildings were acquired by the Council from The Presbyterian Church Property Trustees in the late 1990’s. Their intended use as a multicultural centre failed to materialise as envisaged and the property has remained vacant since the departure of the last tenant (Te Puawaitanga o Ōtautahi) in January 2022.
Current Physical Status of the Land and Buildings
4.15 The land and buildings have been vacant and fenced off to the public since January 2022.
4.16 Both buildings are generally suitable for occupation in terms of the structural code but require significant works to meet a healthy building standard to achieve building and fire code compliance and consent prior to reoccupation.
4.17 A broad assessment of the works required, and associated costs, for both buildings is appended as Attachment A.
4.18 Hall Building: repair and refurbishment costs are broadly estimated to be in the region of $360,000, a significant portion of which is associated with the demolition and rebuild of the rear toilet block, works to achieve code compliance and general site works.
4.19 Administration Building: the northwest part of the building was damaged by fire in August 2022 and demolished (refer Figure 2 above). The remainder of the building, which consists of aging, semi-temporary, construction is in poor condition. Estimated costs to strip out, refit and potentially rebuild the buildings to meet current code requirements could be as much as $1,000,000.
4.20 The estimated timeframe (excluding design and consenting) for completing the repair and compliance work to either of the buildings to enable re-occupation is in the order of 6 to 9 months.
4.21 Estimated costs to demolish each building is in the order of $30,000 - $50,000.
Planning Context
4.22 The site, which is flat and categorised TC1 Grey, has frontages to both Gilberthorpes Road and Kaniere Avenue. It is zoned Residential Suburban and is suitable for intensive development with the usual services available at the property boundary.
4.23 Permitted activities include housing, educational and spiritual activities, welfare and community garden activities, social housing, multi-unit residential complexes and retirement villages.
4.24 Resource consent requirements will be dependent on the nature of the activity and design proposed for the site.
4.25 Environment Canterbury’s Listed Land Use register has no hazardous activities and industries noted on the site.
Request for Proposal (RFP)
4.27 The RFP noted that respondents may include community groups, not-for-profit organisations and church groups as well as entities interested in developing the site for community purposes or social / affordable housing.
4.28 The RFP process went live on 31 March 2025 and closed on 6 June 2025.
4.29 The RFP was advertised via the GETs website, The Press and Council’s Public Notice site. Details were also provided to the Council’s Community Governance Managers for circulation to their respective Community Boards and extensive local networks.
4.30 Three submissions were received.
Response 1 - Purapura Whetu Trust Proposal
4.31 The Purapura Whetu Trusts (PWT) preference is to own the land and buildings. Their proposal is based on purchasing the property at a viable figure having regard to market value. A copy of their proposal is appended as Attachment B.
4.32 PWT is a not-for-profit Māori health, wellbeing and social service provider in the Canterbury region addressing mental health needs within the local Māori and wider community to enable supported housing people ‘to have a home, a stable and constant place to live, love, grow and become citizens of Otautahi’.
4.33 The proposal is to demolish the Administration Building, redevelop the site for community housing with outdoor communal areas and repurpose the existing Hall as a community hub for the wider Hornby community.

4.34 Their staged concept is to provide 15-23 one bed and two bed units. This will include 15 single unit dwellings for male and female rangatahi aged 16 to 24 who have been in Oranga Tamariki or Youth Justice care.
4.35 The additional tenants will meet social housing criteria and will either be: young parents with State care history; women coming out of Refuge or residential care; women reintegrating into society after time in prison; Kaumatua in an intergenerational living community for ongoing support for our rangatahi; those who may be on a wait list for the Youth Hub Hostel in Bealey Avenue.
4.36 The Hall will be available for use as a communal space for group / support activities for the tenants and a community hub available for use and hire by the wider Hei Hei and Hornby community e.g. Church service on Sundays, community meetings during the weekdays and evenings and regular sports events.
4.37 The design and construction of Stage 1 is expected to take 18 months. A similar period is anticipated for Stage 2, which contemplates the demolition and replacement of the Hall with a purpose-built communal and community hub building with staff office space and activity space as well as additional housing.
4.38 PWT’s proposal provides robust financials with audited accounts, positive cashflows, detailed capital and operational budgets, confirmed funding sources and strong financial partnerships. As such it indicates that the proposal would be funded by the PWT with or without external funding i.e. no cost to the Council.
4.39 PWT has extensive experience and a track record in developing and operating successful community-based facilities for their 27 wellbeing services across multiple sites.
4.40 Development of the property would be managed by Rangzen Pro, who have considerable experience in managing and delivering community housing and community hall construction / development projects.
4.41 Day to day operation would be managed by PWT’s Purapura Whetu Management and Ngā Maihi staff and team onsite.
Response 2 - Home Capital Partners Proposal
4.42 Home Capital Partners’ (HCP) preference is to own the land and buildings. Their proposal contemplates the property being transferred to HCP for a nominal sum of $1. A copy of their proposal is appended as Attachment C.
4.43 HCP is part of the Home Group which is a collective of organisations with a shared purpose: ‘Through Homes, flourishing communities – because a home is the foundation of a thriving life’.
4.44 HCP is an investment fund manager which collaborates and partners with Community Housing Providers and other stakeholders to use investment funds to create affordable, secure, and healthy housing solutions.
4.45 Their concept has been developed in conjunction with the Greater Hornby Residents Association (GHRA), Philipino Church (God’s Ministry Christian Church), Te Whare Awhero and Hornby MenzShed.

4.46 It contemplates the demolition of the Administration Building, retention and refurbishment of the Hall (and potential future extension), the provision of 400m2 for a MenzShed (Hornby Chapter) and the construction of eight (8) Older Persons Housing (OPH) villas.
4.47 HCP propose that the OPH will address a critical shortage of fit-fit-purpose accessible housing for over 65’s in the area. The extended Hall will provide Te Whare Awhero with a base for its social services and a shared space for multiple community stakeholders.
4.48 A staged design and construction timeframe of around 24 months is envisaged beginning with site clearance and demolition, enabling works, repairs to the Hall, and then proceeding with the new build elements (MenzShed and OPH villas).
4.49 From a capital expenditure perspective HCP’s proposal suggests that it has the financial capability and committed resources necessary to fund the development and ongoing maintenance of the OPH and refurbishment and extension of the Hall ‘at no net cost to Council’. In this context HCP’s model is to partner with Councils, Government, Community Housing Providers, Impact Investors and Philanthropic Donors to provide the required investment funds.
4.50 It is not clear from the proposal response, however, exactly how this model would be implemented. HCP’s financial status is unclear as is their financial position within the project. The financial information provided is limited. It is also apparent that the development would be contingent on a significant interest only loan with no indication of how that debt would be serviced during design and construction when there would be no rental income.
4.51 The Hall is intended to operate under a head lease arrangement with operational costs being funded through lease and hire income. The MenzShed would construct and own their own building and lease their space from the head lessee.
4.52 Aside from HCP, the Home Group encompasses: Kainga Maha (residential development management company); Home Construction (construction company); Te Wawata Kainga (property and tenancy management service); and Home Foundation (charitable trust and Kaitiaki of the Home Group). This collaboration, and experienced personnel, has delivered and managed a number of similar community focused development initiatives.
Response 3 – Philipino Church (God’s Ministry Christian Church) Proposal
4.53 The proposal from the Philipino Church assumes ownership of the Hall and utilising only around 50% of the land area of 151 Gilberthorpes Road (shown cross-hatched in Figure 1 below) under a ground lease at a peppercorn from the Council. The balance of the site, including the Administration Building, would not be required. A copy of their proposal is appended as Attachment D.
|
|
|
|
Figure 1 |
Figure 2 |
4.54 Their concept plan (refer Figure 2 above) envisages upgrading the Hall and toilet, providing an area for the MenzShed and incorporating an outdoor basketball court. It is noted that a larger land area would likely be required to accommodate these features.
4.55 The Philipino Church clearly have a strong community ethic and have access to an experienced construction workforce. However, the general approach to the design, consenting and construction process and the costs associated with that appears to be under-estimated. Equally the funds available to the Philipino Church for capital works are relatively limited.
4.56 Operating income would be derived from community groups and other users of the Hall.
4.57 In isolation this proposal would require the Council to subdivide the site and run a further process (i.e. RFP, open market sale) to resolve the future use of the balance of the site, including the demolition of the Administration building.
4.58 It is noted that the Philipino Church have collaborated with HCP and MenzShed in developing their proposal. Given that both the PWT and HCP proposals intend to retain and upgrade the Hall for community purposes it is suggested that these may provide better, and more feasible, options for accommodating the requirements of the Philipino Church.
RFP Evaluation
4.59 The submissions were reviewed and evaluated by a panel of three: one each from the Council’s Community Support and Partnerships, Finance, and Facilities and Property Units. Probity was provided by the Legal and Democratic Services Unit.
4.60 The RFP responses were graded in relation to the RFP weighted attribute criteria, summarised as follows:
· Eligible Applicant - 10%: an incorporated non-profit with charitable purpose, charitable trust, church group, community housing provider, or private entity committed to a community use.
· Concept Plan – 15%: a clear vision for the site/buildings including a high-level implementation plan.
· Funding & Financial Viability – 50%: a robust business case demonstrating secured financial resources (at no cost to Council) including: pre-planning (design, consents); structural repairs and site works; demolition and subdivision (if required); staged development; cash-flow projections.
· Capability and Experience – 10%: demonstrate an ability to manage, deliver and operate the proposed community initiative.
· Community Impact – 15%: demonstrate the extent of community benefit and outreach.
4.61 The RFP responses were graded with results as scheduled below:
|
|
Purapura Whetu Trust |
Home Capital Partners |
Philipino Church (GMCC) |
|
Ranking |
1 |
2 |
Fail – Funding and Financial viability |
4.62 The completed evaluation process has determined Purapura Whetu Trust as the preferred respondent, with Home Capital Partners second. The Philipino Church submission was deemed a fail due principally to insufficient financial and project delivery information.
Valuation and Costs to Council
4.63 In April 2024 Bayley’s were commissioned to provide an independent valuation report to inform this decision-making process. This assessment of value has been updated recently and is referenced within the Public Excluded Attachment E.
4.64 The current book value of the property is $857,000. The rateable value is $820,000.
4.65 These factors would inform negotiations around the sale of the property.
4.66 The total costs associated with the facility including both non-controllable costs (depreciation, insurance, and rates) and controllable costs (maintenance and operating expenses), amounted to $138,609.84 over the three fiscal years from FY 2023 to FY 2025.
4.67 Annual breakdown:
· FY 2023: $45,417.43
· FY 2024: $47,736.47
· FY 2025: $45,455.94
4.68 These figures reflect the ongoing financial commitment required to maintain the property in its current state.
4.69 In addition to direct facility costs, it is estimated that approximately $80,000 in staff time has been charged to the disposal process for the property since June 2021, when the Council approved the sale through the LTP process.
4.70 This figure reflects the cumulative staff effort involved in managing the ongoing decision-making, community engagement, and administrative processes related to the property.
Options Considered Ngā Kōwhiringa Whaiwhakaaro
4.71 The following reasonably practicable options were considered and are assessed in this report:
4.71.1 Purapura Whetu Trust Proposal: PWT purchase the property, demolish the Administration building, develop and operate the site for 15-23 social housing units and repurpose (and eventually redevelop) the Hall for PWT staff, tenant and wider community use.
4.71.2 Council Retains the Property: repairs the Hall, demolishes the Administration Building, leases the land and Hall building to community groups.
4.71.3 Council Sells the Property: as is where is on the open market.
4.72 The following options were considered but ruled out:
4.72.1 Retain the Status Quo: the land and buildings remain fenced and closed.
The property continues to deteriorate, provides a target for ongoing vandalism and the inertia around the future use of the site will continue indefinitely.
4.72.2 Home Capital Partners Proposal: HCP acquire the property for $1, demolish the Administration Building, develop and operate the site for 8 Older Person Housing (OPH) villas, repurpose (and potentially extend) the Hall for community use and provide space for a MenzShed building.
All proposals provide community space through the repurpose of the hall. In comparison to PWT’s proposal HCP’s mixed model delivers more community use, less social housing and a lower financial benefit to the ratepayer. The proposal comes from a new subsidiary of a Group with a proven track record, however, there is a lack of clarity in the proposal around the financial and development framework.
4.72.3 Philipino Church (God’s Ministry Christian Church) Proposal: repurpose the Hall, set aside space for a MenzShed building and a basketball court and utilise approximately one third of the site on a ground lease.
Although well intentioned, and with a strong community focus, their proposal lacked financial and funding rigour and under-estimated the likely costs and resources required to support the lifecycle of a project of this nature. In isolation the proposal would require the Council to invest in the sub-division of the site and further work required to determine the future use of the balance of the site.
Options Descriptions Ngā Kōwhiringa
4.73 Option 1 (Preferred Option) - Purapura Whetu Trust Proposal
4.74 Option Description: PWT purchase the property, demolish the Administrative Building, develop and operate the site for 15-23 social housing units and re-purpose (and eventually redevelop) the Hall for PWT staff, tenants and wider community use.
|
Advantages |
Disadvantages |
|
A positive response to ongoing inertia and vandalism |
MenzShed requirements not accommodated on site |
|
No cost to Council |
Possible negative response from neighbours |
|
Council receives revenue from the sale of the property |
|
|
Council’s unbudgeted CAPEX/OPEX liability is extinguished |
|
|
Significant social housing / community benefit |
|
|
Hall repurposed for community / other uses – i.e., Philipino Church, GHRA etc. |
|
|
Staff continue to work with MenzShed / other groups to resolve their accommodation requirements |
|
4.75 Option 2 - Council Retain and Repair the Property
4.76 Option Description: Council repairs the Hall, demolishes the Administration Building, leases the land and re-purposed Hall building to community groups.
|
Advantages |
Disadvantages |
|
The property remains in Council ownership |
Unbudgeted CAPEX – Hall Repair and siteworks (c$360k); Demolition (c$50k); |
|
Hall and land available for use by community groups |
Unbudgeted OPEX – annual repair, maintenance and management (c$10 - $20k) |
|
A positive response to the current inertia and vandalism |
Retention not supported by the Council’s approved Community Facilities Network Plan 2020 – i.e. community need is adequately provided for within existing Council community facilities |
|
|
While there is claimed demand for additional community space, the evidence that the existing network of facilities is failing to meet this is less clear. |
|
|
Direct impact on rates |
4.77 Option 3 - Council Sells the Property
4.78 Option Description: as is where is on the open market.
|
Advantages |
Disadvantages |
|
No cost to Council (net of selling agents fees) |
No control over the development / future use of the site |
|
Council receives revenue from the sale of the property |
Potential use of the site to address social housing and / or local community issues cannot be guaranteed |
|
Council’s unbudgeted CAPEX / OPEX liabilities extinguished |
|
|
A positive response to the current inertia and vandalism |
|
Analysis Criteria Ngā Paearu Wetekina
4.79 The key elements of the three proposals received are outlined above at 4.31 to 4.58. These were evaluated against the weighted RFP criteria listed at 4.60 to 4.62 and further discussed, together with several other alternative options, within the ‘Options Description’ section above at 4.73 to 4.78.
4.80 This evaluation process has determined that the proposal from the PWT provides the most favourable option in terms of beneficial social and community outcomes and, also, in terms of an as is where is, no cost to Council, basis.
5. Financial Implications Ngā Hīraunga Rauemi
Capex/Opex Ngā Utu Whakahaere
|
|
Recommended Option – PWT Proposal |
Option 2 – CCC Retain & Repair Property |
Option 3 – CCC Sell the Property |
|
Cost to Implement |
Nil (staff time only) |
Est $410k to repair the Hall/Demolish Admin Building (forego sale proceeds) |
Nil (selling agents fees / legal costs deducted from sale proceeds) |
|
Maintenance/Ongoing Costs |
Nil (assuming early sale) |
Est $10-20k per annum |
Nil (assuming early sale) |
|
Funding Source |
Unbudgeted |
Unbudgeted |
Unbudgeted |
|
Funding Availability |
Unbudgeted |
Unbudgeted |
Unbudgeted |
|
Impact on Rates |
Nil |
Nominal |
Nil |
5.1 With regard to property sales, the Council has an LTP revenue budget of $3.0 million per annum. Revenue from the sale off the property to PWT will provide a significant contribution and reduce the risk of not achieving that target.
5.2 This report has been reviewed by Finance.
6. Considerations Ngā Whai Whakaaro
Risks and Mitigations Ngā Mōrearea me ngā Whakamātautau
6.1 Although site security is in place, further delay is likely to increase the ongoing risk to the land and buildings of vandalism and arson. While the property remains unoccupied the negative visual and anti-social impact on the adjoining neighbours and neighbourhood will continue.
6.2 There may be some residual feedback from immediate neighbours regarding the provision of social and community housing on the site.
6.3 While considered low, there is a risk around securing a mutually acceptable Sale and Purchase Agreement with the PWT.
Legal Considerations Ngā Hīraunga ā-Ture
6.4 Statutory and/or delegated authority to undertake proposals in the report:
6.4.1 The disposal of the property was approved by the Council through the Long-Term Plan 2021-2031 (resolution C-LTP/2021/00106 (M191A).
6.4.2 The powers of competence set out in section 12(2) “Status and Powers” of the Local Government Act.
6.5 Other Legal Implications:
6.5.1 The legal consideration is the Council’s ‘Disposal of Council Property’ policy which was addressed when the property was deemed available for disposal through the 2021-2023 LTP process.
6.5.2 The previous owner of the property, The Presbyterian Church Property Trustees, declined the opportunity to purchase the property pursuant to section 40 Public Works Act 1981.
6.5.3 Ngāi Tahu confirmed that they have no right of first refusal over the site.
6.5.4 This report has been reviewed by Legal Services.
Strategy and Policy Considerations Te Whai Kaupapa here
6.6 The required decision:
6.6.1 Aligns with the Christchurch City Council’s Strategic Framework. The decision will facilitate the sale of an operationally redundant property and save ongoing repair, maintenance and holding costs and, through development of the site, mitigate the existing vandalism and arson issues.
6.6.2 Is assessed as low significance based on the Christchurch City Council’s Significance and Engagement Policy. The level of significance was determined by recognising that the decision is of a local nature, affects a small number of the city and local community and recognises that the preferred proposal provides shared community space in addition to the available space within existing Council community facilities.
6.6.3 Is consistent with the Council’s Plans and Policies as the disposal of the property is provided for within the 2021-2031 LTP.
6.7 This report supports the Council's Long Term Plan (2024 - 2034):
6.8 Communities & Citizens
6.8.1 Activity: Community Development and Facilities
· Level of Service: 2.0.1.1 Provide a sustainable network of community facilities to empower resilient, active, and connected communities owning their own future - 78 - 82 Facilities
Community Impacts and Views Ngā Mariu ā-Hāpori
6.9 Through the LTP 2021-31 process, the Council made the decision in June 2021 to sell 57 properties that were no longer required for their purposes. One of the properties declared surplus was 151-153 Gilberthorpes Road.
6.10 In arriving at the decision, the Council undertook both general and targeted consultation, resulting in over 500 submissions. Targeted consultation went to Community Boards, the 6 Rūnanga, Ngāi Tahu (both Iwi and corporate), tenants, and housing providers. 253 submissions clearly supported disposals, 54 clearly opposed and 180 suggested a mix of outcomes. There were no submissions on Gilberthorpes Road.
6.11 The Waipuna Halswell-Hornby-Riccarton Community Board was aware of the consultation and made a submission on other properties but did not mention Gilberthorpes Road.
6.12 Following the adoption of the 2021-31 LTP where the sale of 151-153 Gilberthorpes Road was approved, there was a level of surprise within the local Hornby and Hei Hei communities over the decision. Community members expressed a lack of awareness of the proposal within the LTP and requested that the facility be retained for community use.
6.13 The Waipuna Halswell-Hornby-Riccarton Community Board ‘s submission to the 2022-23 Annual Plan included that “The Board….supports in principle the disposal of properties that are surplus to the Council’s requirements but cautions against disposal of property for which there is or could be a current or future community use….the Board has become aware that there are now a number of potential community uses being put forward for these premises and it therefore ask that the disposal of this property be revisited”.
6.14 Two subsequent widely promoted EOI processes were run which attracted proposals from local community groups. None of these were assessed as sustainable or financially viable which precipitated the 2024 staff report to Council recommending the sale of the property.
6.15 A further process, the RFP which is the subject of this report, was initiated to provide a further opportunity for local community groups and community-based entities to submit sustainable ana financially viable proposals for the future use of the property.
6.16 The decision affects the Waipuna Halswell-Hornby-Riccarton Community Board area.
Impact on Mana Whenua Ngā Whai Take Mana Whenua
6.17 The decision does not involve a significant decision in relation to ancestral land, a body of water or other elements of intrinsic value, therefore this decision does not specifically impact Mana Whenua, their culture, and traditions.
6.18 The decision does not involve a matter of interest to Mana Whenua and will not impact on our agreed partnership priorities with Ngā Papatipu Rūnanga.
6.19 The proposal to dispose of the property has been communicated to Mana Whenua through the LTP and the previous EOI process.
Climate Change Impact Considerations Ngā Whai Whakaaro mā te Āhuarangi
6.20 The decision attempts to create certainty over the future use of the property. The preferred use and development of the property is unlikely to have a direct effect on climate change or emissions reduction.
6.21 Users of the facility will ultimately access the site through a range of transport measures, which are considered by other Council policies and regulatory processes.
7. Next Steps Ngā Mahinga ā-muri
7.1 If the Council resolves to approve the Officer recommendation, which endorses a prior Council resolution, staff will negotiate the sale of the property to PWT on an as is where is, no cost to Council, basis.
Attachments Ngā Tāpirihanga
|
No. |
Title |
Reference |
Page |
|
a ⇨ |
Cost Estimates (Under Separate Cover) |
25/1405208 |
|
|
b ⇨ |
Purapura Whetu Trust Proposal (Under Separate Cover) |
25/1408419 |
|
|
c ⇨ |
Home Capital Partners Proposal (Under Separate Cover) |
25/1475322 |
|
|
d ⇨ |
Philipino Church (GMCC) Proposal (Under Separate Cover) |
25/1476055 |
|
|
Property Purchase Context (Under Separate Cover) - Confidential |
25/1418994 |
|
In addition to the attached documents, the following background information is available:
|
Document Name – Location / File Link |
|
Not applicable
|
Signatories Ngā Kaiwaitohu
|
Authors |
Barry Woodland - Property Consultant Angus Smith - Manager Property Consultancy Matthew Pratt - Principal Policy Advisor |
|
Approved By |
Angus Smith - Manager Property Consultancy Bruce Rendall - Head of Facilities & Property Anne Columbus - General Manager Corporate Services/Chief People Officer |
|
18. Proposed Locky Dock cycle parking and charging station in Rauora Park, Lichfield St |
|
|
Reference Te Tohutoro: |
25/672349 |
|
Responsible Officer(s) Te Pou Matua: |
Anne
Heins, Community Travel Advisor |
|
Accountable ELT Member Pouwhakarae: |
Brent Smith, General Manager City Infrastructure |
1. Purpose and Origin of the Report Te Pūtake Pūrongo
1.1 The purpose of this report is to seek the Council’s approval for a Locky Dock to be installed in Rauora Park on Lichfield St.
1.2 This report follows a 2023/24 Annual Plan action for staff to work with Big Street Bikers to investigate a network of Locky Docks on Council land, and the Memo of 5 February 2025 outlining progress including the signing of a Licence to Occupy (Attachment A).
2. Officer Recommendations Ngā Tūtohu
That the Council:
1. Receives the information in the Proposed Locky Dock cycle parking and charging station in Rauora Park, Lichfield St Report.
2. Notes that the decision in this report is assessed as low significance based on the Christchurch City Council’s Significance and Engagement Policy.
3. Approves the site in Rauora Park (200R Cashel St) adjacent to 133 Lichfield St (shown in Attachment B of this report) to be added to the Licence to Occupy (public excluded Attachment C to this report) to enable the installation of a Locky Dock cycle parking and charging station, subject to the granting of a Resource Consent.
4. Subject to the approval of Recommendation 3:
a. Delegates to the Manager Property Consultancy the power to sign all required documentation to complete the Licence to Occupy.
5. Notes that Public Excluded Attachment C to this report, the Licence to Occupy signed with Locky Docks, will be released upon the review of Head of Transport.
3. Executive Summary Te Whakarāpopoto Matua
3.1 Locky Docks are cycle infrastructure which provide free secure parking and charging, and associated marketing screens, the revenue of which funds Big Street Bikers’ capital and operational costs of the infrastructure (plus a commercial profit margin).
3.2 In December 2024, the Council entered into an initial 3-year Licence to Occupy agreement with Big Street Bikers to pilot up to three Locky Dock stations on Council land.
3.3 The pilot is designed to be cost neutral for the Council, with the exception of staff time. Any costs for installation, operations, and removal sit with Big Street Bikers
3.4 Two of the three sites for Locky Docks, situated on Road Reserve land, have been agreed in the Licence to Occupy as per the Memo that was sent to the Mayor and Councillors on 5 February 2025 (Attachment A). These two locations are now installed and operational. This report recommends a third and final Locky Dock site to fulfill the pilot agreement. This third site, unlike the other two sites, requires approval by the Council because it is situated on park land within the Central City area.
3.5 The proposed site is in Rauora Park (200R Cashel St), located adjacent to 133 Lichfield St.
3.6 The Locky Dock, if approved, would have space for up to 10 bicycles, depending on detailed site investigations and Resource Consent process.
4. Background/Context Te Horopaki
4.1 As part of the 2023/24 Annual Plan, an action was agreed by the Council for staff to work with Big Street Bikers on a network of Locky Docks across the city.
4.2 In December 2024, the Council entered into an initial 3-year Licence to Occupy agreement with Big Street Bikers to pilot up to three Locky Dock stations on Council land. The license was granted and signed off through the Manager of Property Consultancy in accordance with their delegated authority. This Licence to Occupy is included in this report as Public Excluded Attachment C.
4.3 Two of the three sites for the pilot of Locky Docks on public Council land have been agreed in the Licence to Occupy, as per the Memo sent to the Mayor and Councillors on 5 February 2025 (Attachment A). This report recommends a third and final Locky Dock site to fulfill the pilot agreement. This third site, unlike the other two sites, requires approval by the Council because it is situated on park land within the Central City area.
4.4 The approach of the pilot is to test the demand and usage of Locky Docks. It will allow for collection of public feedback for the facilities as well as test the marketing return that could generate future revenue for Council, should there be a decision to extend the network and/or renew the license agreements for the trial sites.
4.5 Council staff have been working with Big Street Bikers to determine an appropriate third site for the 3-year pilot.
4.6 Many other site options have been considered to date. It is noted that finding a workable site is difficult because:
4.6.1 Often a location with high cycle parking demand is at odds with Big Street Bikers’ requirement for high levels of adjacent vehicle and foot traffic to provide sufficient profile for the marketing screen.
4.6.2 In many locations there is simply insufficient space on the footpath or other public Council land to install a Locky Dock without severely impeding pedestrian thoroughfare.
4.6.3 To be workable, a site needs nearby power access, as trenching and surface reinstatement can make installation costs prohibitive for Big Street Bikers.
4.6.4 The Locky Dock’s associated large marketing screen has the potential to impede road user sightlines, especially near vehicle exits or intersections, as well sensitivities around marketing screens in public spaces of high cultural, historical or civic value.
4.7 The following related memos/information were circulated to the meeting members:
|
Date |
Subject |
|
5 February 2025 |
Locky Docks Pilot - Memo |
Options Considered Ngā Kōwhiringa Whaiwhakaaro
4.8 The following reasonably practicable options were considered and are assessed in this report:
4.8.1 Option 1: Approve the proposed site: Grant approval (subject to Resource Consent and any other relevant Council requirements) for a Locky Dock to be installed on the triangle of land at the edge of Rauora Park, adjacent to the terraced housing at 133 Lichfield St, and directly bordering the footpath.
4.8.2 Option 2: Do not approve the site for Locky Dock installation, seek alternative site
4.8.3 Option 3: Do not agree to a third site for the 3-year pilot
4.9 The following options were considered but ruled out:
4.9.1 Installation on one of five sites on Cashel and High Streets in the pedestrian mall: ruled out because the area is already busy with people and existing street furniture, and a Locky Dock would add clutter and impede pedestrian circulation. Local commercial property owners were opposed, and the proximity to the tram tracks was problematic from a safety point of view. The Heritage layer in the District Plan was also likely to cause resistance to additional marketing screens being visible from key historical sites like the Bridge of Remembrance.
4.9.2 Installation near Margaret Mahy Playground: ruled out because of a lack of projected demand for cycle parking there, as the proposed site was a greater distance from the playground than existing and underutilised cycle parks, and the site was adjacent to a Phantom Billboard bollard creating a high cumulative impact of advertising in public space.
4.9.3 Installation on the footpath outside Child Sister café on Manchester St: ruled out because a Resource Consent application for the adjacent bare land shows a future vehicle entrance across the proposed Locky Dock location.
4.9.4 Installation on the footpath adjacent to the Court Theatre: ruled out because the footpath width is insufficient to accommodate it without creating narrow pinchpoints in a prime pedestrian area.
4.9.5 Installation on one of the Tūranga frontages: ruled out because the footpath widths were insufficient on the Gloucester St side. On the Cathedral Square side of Tūranga, the marketing screen would have obscured the view of the flagship entrance and Tūranga signage. It would impede pedestrian circulation, as well as complications with the Heritage protection of Cathedral Square.
4.9.6 Installation near the Mt Pleasant Community Centre to serve the centre, preschool, and weekend market: ruled out because the vehicle and foot traffic in the area were deemed to provide insufficient profile for the marketing screen.
4.9.7 Installation adjacent or near to the new Sumner Skate Park: ruled out because there is not enough space on the footpath to install a Locky Dock without severely impeding pedestrian thoroughfare.
Options Descriptions Ngā Kōwhiringa
4.10 Option 1: Approve the proposed site Grant approval (subject to Resource Consent and any other relevant Council requirements) for a Locky Dock to be installed on the triangle of land at the edge of Rauora Park, adjacent to the terraced housing at 133 Lichfield St, and directly bordering the footpath.

Figure 1: Aerial showing proposed location in pink: Rauora Park (200R Cashel St), adjacent to 133 Lichfield St
4.10.1 Option Advantages
· There is proven demand for cycle parking in this area with its nearby restaurants and bars, and small offices without their own secure cycle parking for staff.
· There is an existing Locky Dock diagonally across the road next to Earl Restaurant which has space for 10 bikes, but it will soon be removed as the vacant site it is on is being developed. This Locky Dock is well-used, with the third highest use rate of all of Christchurch’s Locky Docks.
· The Parks Team support the proposal.
· An initial assessment from the Resource Consents team raised no concerns that cannot be managed via the consent process.
· The proposed location is marked up in Figure 1 above, and is shown in Attachment B.
4.10.2 Option Disadvantages
· None identified.
4.11 Option 2: Do not approve the site for Locky Dock installation, seek alternative site
4.11.1 Option Advantages
· It is possible that a more optimal site exists.
4.11.2 Option Disadvantages
· Further staff time is committed to trying to identify an alternative feasible site.
· A further delay in installing the third and final Locky Dock site, to assess against the criteria of the 3-year pilot.
4.12 Option 3: Do not agree to a third site for the 3-year pilot
4.12.1 Option Advantages:
· Does not cost additional staff time.
4.12.2 Option Disadvantages:
· Limits the pilot to only two Locky Dock sites.
· Undermines staff’s informal agreement with Big Street Bikers to identify a third site under the pilot agreement.
Analysis Criteria Ngā Paearu Wetekina
4.13 Criteria that potential sites are assessed against include:
4.13.1 Are there trip generators (shops, restaurants, bars, small businesses, other facilities) nearby to drive demand for cycle parking in the area.
4.13.2 Is there sufficient physical space on the footpath or other area for a Locky Dock without impeding pedestrian circulation or access.
4.13.3 Does the site have longevity, i.e. are there likely changes in the near future that will require removal of the Locky Dock, such as adjacent development or plans to put a vehicle access across the site to access adjacent land.
4.13.4 Is there a power source nearby that can be connected to for the Locky Dock’s operation (trenching and surface reinstatement is expensive and highly dependent on distance).
4.13.5 Does the site have a high enough profile for the marketing screen to reach a large audience, i.e. minimum pedestrian and vehicle traffic volumes.
4.13.6 Are there road safety concerns, such as the marketing screen obstructing sightlines or creating distractions around vehicle entrances or intersections.
4.13.7 Are there Heritage protections over the site that make the marketing screen inappropriate.
4.13.8 Are there significant Urban Design and Cultural design factors for the public space that make a Locky Dock marketing screen there inappropriate.
4.13.9 Are there other outdoor advertising structures nearby that would create a high cumulative impact of advertising in a public space.
5. Financial Implications Ngā Hīraunga Rauemi Capex/Opex Ngā Utu Whakahaere
|
|
Recommended Option |
Option 2 - Do not approve the site for Locky Dock installation, seek alternative site |
Option 3 - Do not agree to a third site for the 3-year pilot |
|
Cost to Implement |
$2000 (cost to complete this report) |
Estimated $5,000 - $10,000 for further staff time |
$2000 (cost to complete this report) |
|
Maintenance/Ongoing Costs |
N/A |
N/A |
N/A |
|
Funding Source |
Workplace Travel Planning budget |
Workplace Travel Planning budget |
Workplace Travel Planning budget |
|
Funding Availability |
Existing LTP budget |
Existing LTP budget |
Existing LTP budget |
|
Impact on Rates |
None |
None |
None |
5.1 The 3-year pilot under which all three Locky Docks are to be installed is designed to be cost neutral for the Council, aside from staff time involved in the partnership with Big Street Bikers to identify feasible sites and monitor the pilot parameters. Any costs for installation, operation and removal of the Locky Docks sit with Big Street Bikers as per the pilot agreement.
5.2 While being rates-neutral, it is noted that staff time invested in this project over the past 2 years has been substantial, due to the broad range of Council teams involved in providing advice on the marketing screens in particular and the complexity of negotiating the Licence to Occupy.
6. Considerations Ngā Whai Whakaaro
Risks and Mitigations Ngā Mōrearea me ngā Whakamātautau
6.1 There is a small risk that members of the public will object to additional marketing screens in the public realm. This wider issue will be considered through the development of the Advertising on structures in Road Reserve/Public Places policy.
Legal Considerations Ngā Hīraunga ā-Ture
6.2 Statutory and/or delegated authority to undertake proposals in the report:
6.2.1 The Council has the power under the Local Government Act 2002 to enter into licences of land.
6.2.2 The proposed site, unlike the other two confirmed sites which are on Road Reserve land, requires approval by the Council because it is situated on park land within the Central City area.
6.3 Other Legal Implications:
6.3.1 The proposed site is ‘park’ in accordance with section 138 of the Local Government Act 2002. The Council is not required to consult in accordance with s138(1), as the proposed licence does not have the effect of excluding or substantially interfering with the public’s access to the park.
Strategy and Policy Considerations Te Whai Kaupapa here
6.4 The required decision:
6.4.1 Aligns with the Christchurch City Council’s Strategic Framework and reflects the strategic priority of reducing emissions, and the community outcome of a thriving and prosperous city in Council partnering with enterprises to trial innovative ideas like Locky Docks.
6.4.2 Is assessed as low significance based on the Christchurch City Council’s Significance and Engagement Policy. The level of significance was determined by the fact that this relates to one site for cycle parking infrastructure, which has marginal alternative public use.
6.4.3 Is consistent with the Council’s Plans and Policies.
6.5 This report supports the Council's Long Term Plan (2024 - 2034):
6.6 Transport
6.6.1 Activity: Transport
· Level of Service: 10.5.39 Increase the numbers of people cycling in the central city - >=2,000 cyclists
· Level of Service: 10.0.2 Increase the share of non-car modes in daily trips - >=37% of trips undertaken by non-car modes
6.7 It is noted that the Council is currently reviewing its Advertising on structures in Road Reserve/Public Places policy, which is one of the reasons for the short term of the Licence to Occupy of three years. The Advertising on structures in Road Reserve/Public Places policy is expected to be finalised and operative by the time the 3-year licence expires at the end of 2027.
Community Impacts and Views Ngā Mariu ā-Hāpori
6.8 A letter was sent to residents who might have sightline of the Locky Dock marketing screen from their property (133 Lichfield Street, units 1-5) on 14 May 2025. The letter provided information on the proposal for a Locky Dock in this location and invited them to provide feedback if there was anything we needed to know before a decision was made. No feedback was received.
6.9 Fletcher Residential who are currently building an apartment building next to the site were also informed of the plans through their Development Manager and given the opportunity to provide information. Fletcher raised no concerns, providing the site is well maintained. This is covered by the Maintenance Schedule of the Licence to Occupy.
6.10 The decision affects the following wards/Community Board areas:
6.10.1 Waipapa Papanui-Innes-Central Ward.
Impact on Mana Whenua Ngā Whai Take Mana Whenua
6.12 The decision does not involve a matter of interest to Mana Whenua and will not impact on our agreed partnership priorities with Ngā Papatipu Rūnanga.
Climate Change Impact Considerations Ngā Whai Whakaaro mā te Āhuarangi
6.13 The decisions in this report:
6.13.1 Have the potential to contribute positively to emissions reductions by helping provide travel choice, and more secure cycle parking options.
7. Next Steps Ngā Mahinga ā-muri
7.1 If approved, and subject to the granting of a Resource Consent, Big Street Bikers will install, operate and maintain the Locky Dock and its associated marketing screen at this site in accordance with the agreed Licence to Occupy.
Attachments Ngā Tāpirihanga
|
No. |
Title |
Reference |
Page |
|
a ⇩ |
Locky Dock Pilot Memo 5 February 2025 |
25/700653 |
255 |
|
b ⇩ |
Lichfield St Rauora Park 10-berth Locky Dock Plan |
25/1369234 |
257 |
|
Locky Docks Licence to Occupy, 20.12.2024 (Under Separate Cover) - Confidential |
25/1376322 |
|
In addition to the attached documents, the following background information is available:
|
Document Name – Location / File Link |
|
Not applicable
|
Signatories Ngā Kaiwaitohu
|
Authors |
Anne Heins - Community Travel Advisor Sarah Anderson - Team Leader Travel Demand Management |
|
Approved By |
Stephen Wright - Manager Operations (Transport) Lynette Ellis - Head of Transport & Waste Management Brent Smith - General Manager City Infrastructure |
1. Purpose and Origin of the Report Te Pūtake Pūrongo
1.1 The purpose of this report is for the Council to consider next steps for Nor’West Arc Major Cycle Route along Ilam Road, Aorangi Road, Condell Ave, Matsons Ave and associated cul-de-sacs, where its previously approved speed limit changes cannot now be installed due to a change in the law.
1.2 The report is in response to the Land Transport Rule: Setting of Speed Limits 2024 which came into force in October 2024, and after feedback from Councillors during an Information Session held on 20 May 2025.
1.3 Background to the change in the law was supplied to Elected Members via Memo on 14 April 2025, and supplied here as Attachment A.
2. Officer Recommendations Ngā Tūtohu
1. Receives the information in the Setting of Speed Limits Rule 2024: Management of Non-Installed Limits - Nor'West Arc Section 3 (University to Harewood Road) Report.
2. Notes that the decision in this report is assessed as medium significance based on the Christchurch City Council’s Significance and Engagement Policy.
3. In accordance with the requirements set out in the Land Transport Rule: Setting of Speed Limits 2024:
a. Revokes the 40km/h speed limits approved by the Urban Development and Transport Committee on 3 February 2022 for Nor’West Arc Section 3 [UDATC/2022/00005 resolution 2, see Attachment C] on streets where Detailed Traffic Resolutions were not approved before the Rule. This applies to the following streets:
i. Aorangi Road (Ilam Road – Condell Ave).
ii. Condell Ave (Aorangi Road – Matsons Ave).
iii. Matsons Ave (Condell Ave – Matsons Ave).
iv. Kemp Lane (full length).
v. 14-14a Aorangi Road (full length).
vi. Royal Elm Lane (full length).
vii. 102 Aorangi Road (full length).
b. Revokes the 40km/h speed limits approved by the Council on 25 August 2022 for Nor’West Arc Section 3A [CNCL/2022/00091 resolutions 61 a ii – ix, see Attachment D] on streets where the limits had not been installed before the Rule. This applies to the following streets:
i. Moorpark Place (full length).
ii. Joyce Crescent (full length).
iii. Tuirau Place (full length).
iv. Swanleigh Place (full length).
v. Ryeland Ave (full length).
vi. Braithwaite Street (full length).
vii. Chateau Drive (full length).
viii. Matisse Place (full length).
4. Approves the removal of all associated signage and road markings from the design, that are associated with the revocation of the 40km/h speed limit as outlined in Recommendation 3 above.
5. Approves that the existing 50km/h speed limit be retained for the streets set out in Recommendations 3(a)(i)-(vii) and 3(b)(i)-(viii) above.
3. Executive Summary Te Whakarāpopoto Matua
3.1 Due to changes in the law, it is not possible to install the changes to speed limits that were approved before the date the law came into force.
3.1.1 This has affected the change to 40km/h speed limits previously approved for much of Nor’West Arc Section 3. These streets are currently 50km/h.
3.1.2 It is likely that the Council could install a 40km/h speed limit on Aorangi Road, Condell Ave, and Matsons Ave. Due to the proposed Major Cycleway these would likely fall into the classification of an “Urban street with significant levels of pedestrian and/or cycling activity”.
3.1.3 However, it is unlikely that the associated cul-de-sacs would meet the bar of pedestrian/cycle activity to be classified in this way, so would need to remain at 50km/h.
3.1.4 Should the Council wish to pursue a change in speed limit for Aorangi, Condell and/or Matsons, this would require public consultation and a further Council decision.
3.2 Staff are therefore seeking direction from the Council on proposed changes to Aorangi Road, Condell Avenue (Aorangi to Matsons), and Matsons Avenue; and whether it wishes to consult on changing to a 40km/h speed limit or retain the existing 50km/h speed limit.
3.3 The staff recommendation is to retain the existing speed limits (50km/h). This is due to:
3.3.1 The proposed design in this area should support lower operational speeds, due to the narrower vehicle lanes, and physical features such as chicanes, buildouts and surfacing changes.
3.3.2 Vulnerable users are physically separated from the roadway along the length, in most cases with wide separators with landscaping.
3.3.3 The additional cost and time associated with consultation, redesign and approval, and installation of the new design. Due to the requirements of the law and local body elections, it is extremely likely that:
· Any Council recommendation to request a speed limit change from the Director of Land Transport would happen after local body elections.
· Some sections of the route are currently under construction, so would incur additional revisit costs to install signage.
3.4 However, staff note that this recommendation is finely balanced, and not reducing the speeds would also have significant disbenefits:
3.4.1 The posted speeds would be at odds to the desired operational speeds and street design.
3.4.2 Maintaining the speed limit does not reflect the cycle priority of the route.
3.4.3 This would not reflect feedback received during the original public consultation.
4. Background/Context Te Horopaki
Speed Limit Rule Changes
4.1 On 28 September 2024, the Land Transport Rule: Setting of Speed Limits 2024 was signed, before coming into force on the 30 October 2024.
4.1.1 The Rule change was widely publicised as reversing previous blanket speed limit changes.
4.1.2 However, it also does not allow for implementation of speeds which have not yet been installed, that were set by the Council under the Setting of Speed Limits 2022 Rule or previous Council Bylaws.
4.2 For all future speed limit changes on existing roads, the Rule also places restrictions on Road Controlling Authorities (RCAs) around the limits that can be set, depending on the street classification.
4.2.1 Most notably, it is no longer possible to install 30km/h limits on normal urban streets.
4.2.2 The full list of urban street classifications and allowable speed limits is shown in Schedule 3 (page 58) of Attachment A.
4.3 The process for changing speed limits has changed in recent years compared to the previous rules and bylaws. Key facets of the requirements in the 2024 Rule are:
4.3.1 Any proposed change to speed limits must be submitted to the Director of Land Transport for approval.
4.3.2 In order to submit proposals for consideration, the Council must have carried out a public consultation process with the following requirements:
· Minimum consultation period of 6 weeks, notified on an internet site.
· The material must include information showing:
o The role and function of the road; how the road is used (including the different types of road user); and why a speed limit change has been proposed rather than any other speed management intervention.
o An explanation of how the road safety aspects of the [Government Policy Statement] have been had regard to.
o A cost benefit disclosure statement.
· Must have used reasonable efforts to reach a number of groups, including: schools, communities, road users (including freight providers), businesses, and adjoining RCAs.
· Must have reasonably practicable efforts to consult with Māori where the changes affect Māori land or land subject to any Māori claims settlement act.
4.3.3 A summary of feedback must be provided, including an explanation of how feedback was taken into account in any final draft plan. This point in particular is no change to the current engagement processes.
4.3.4 The RCA must have considered this information and feedback when making a decision about their proposal for the speed limit on a piece of road.
Affected Council Projects
4.4 The Council has identified a number of projects with speed limit changes that have been approved but, due to the law changes, cannot be installed in their current form.
4.4.1 Two of these projects have, or are, being dealt with separately:
· Gloucester Street: the Council decision to retain the pre-existing speed limit of 30km/h (Council meeting 16 April 2025).
· Te Kaha Surrounding Streets: At the time of writing, the Council is consulting on amended speed limits.
4.4.2 Three remaining projects require an agreement from the Council on how to proceed:
· Antigua Street (Moorhouse to St Asaph).
· Worcester Street (Latimer Square to Fitzgerald Ave).
· Nor’West Arc along Aorangi Road, Condell Ave and Matsons Ave (Ilam Road to Harewood Road).
Nor’West Arc Section 3 (University to Harewood Road)
4.5 The design for Section 3 of Nor’West Arc (from the University to Harewood Road) was approved at the Urban Development and Transport Committee meeting of 3 February 2022 (see Attachment B), following the design and feedback being considered by a Hearings Panel which convened on 15 November 2021.
4.5.1 Detailed Traffic Resolutions were approved for the southern section (from the University to the Ilam/Aorangi intersection) at the Council meeting of 25 August 2022. This included the speed limit reductions, using the Christchurch City Council Traffic and Parking Bylaw 2017.
4.5.2 Detailed Traffic Resolutions for the northern section (from the Ilam/Aorangi intersection to Harewood Road) were approved by the Council on 16 October 2024. Due to uncertainty around speed limits caused by the Land Transport Rule Setting of Speed Limits 2024, this did not include the approved reductions to 40km/h for this section.
4.6 The delivery of this work is funded from #23101 Major Cycleway - Nor'West Arc Route (Section 3) University to Harewood, with the project included within (and receiving funding from) the “Shovel Ready” programme
4.6.1 Section 3A – from the University to the Aorangi/Ilam intersection: Physical works were completed in July 2024. This installed 40km/h speed limits along Ilam Road. However, speed limit changes on the associated cul-de-sacs were not installed at that time, as it was felt that it would be more consistent for these to be installed with the wider speed management changes planned for the area.
Section 3B – from the Aorangi/Ilam intersection to Harewood Road. This is being delivered in three phases, which will also incorporate planned 3 Waters renewals along the route. As the speed limit changes have not had Detailed Traffic Resolutions approved, the contracts will not currently install the slower speeds along Aorangi Road, Condell Ave, Matsons Ave, or associated cul-de-sacs.
Planning Context
4.7 Nor’West Arc is one of the 13 Major Cycle Routes (MCRs) that were identified in the original business case. It runs from Princess Margaret Hospital in the south, to Harewood Road in Papanui in the north.
4.7.1 Nor’West Arc has an important function within the cycle network, as it is one of only two MCRs that runs around the city, rather than providing a link into the Central City. At completion of the network, this is planned to provide links to 7 other MCRs.
4.7.2 Much of the Nor’West Arc route is complete, meaning it is possible to use MCR-standard facilities to travel from Cashmere to Birmingham Drive, and from Blenheim Road to Jellie Park.
4.8 The modelling done for the MCR business case forecast that Section 3 of Nor’West Arc would grow to some of the highest cycle numbers on the network. This is due to the proximity of a number of high travel generators along the route: the university, a number of schools, Jellie Park recreation centre, etc.
Current Usage
4.9 Several traffic counts have been taken along Aorangi/Matsons in recent years. These vary slightly depending on the location, but show a pattern of a road with medium usage and speeds often slightly above the current speed limits:
· Average daily traffic between 2,000 and 4,000 vehicles per day, of which 2 to 3% are heavy vehicles
· Average speed: typically around 47 km/h
· 85%ile speed: typically around 53km/h
4.10 A cycle counter was installed on Ilam Road near Joyce Crescent during the construction of the first part of the Section 3 works. Since installation this has picked up an average of 182 cycle movements per day.
4.10.1 As this has only been gathering data since the end of May 2024 it is too early to evaluate if there are any trends in usage.
4.11 There are a number of physical features of the design which would be expected to reduce speeds and/or improve safety from the current layout. These include:
4.11.1 Fully separated, bi-directional cycleway along the majority of the route.
4.11.2 Footpaths behind the cycleway, providing separation between pedestrians and cyclists, for most of the route.
4.11.3 Narrower road corridor, with additional trees in the berms, which would be expected to reduce traffic speeds.
4.11.4 Improved crossing points, including texture changes at many intersections.
4.12 Due to the requirements of the 2024 Rule, and timelines for local body elections, it is extremely unlikely that any speed limit changes could be approved ahead of the completion of construction.
4.13 The following related memos/information were circulated to the meeting members:
|
Date |
Subject |
|
14 Apr 2025 |
Setting of Speed Limits Rule: Impact on Capital Projects |
|
|
|
4.14 The following related information session/workshops have taken place for the members of the meeting:
|
Date |
Subject |
|
23 Jul 2025 |
Antigua Street – Design and Options to Proceed (Information Session) |
|
|
|
Options Considered Ngā Kōwhiringa Whaiwhakaaro
4.15 The following reasonably practicable options were considered and are assessed in this report:
4.15.1 Revoke speed limit changes
4.15.2 Consult on reducing to a 40km/h speed limit along the MCR route
4.16 The following options were considered but ruled out:
4.16.1 Do not deliver Section 3b of the Nor’West Arc – this has been ruled out as there is an external funding agreement which would be hard to break; the project has received support through multiple Long Term and Annual Plans; and parts of the route are under construction.
4.16.2 Consult on reducing to a 40km/h speed limit on all streets identified by the Hearings Panel – this has been ruled out as staff do not believe that the associated cul-de-sacs would meet the criteria to be accepted for reductions by the Director of Land Transport.
Options Descriptions Ngā Kōwhiringa
4.17 Preferred Option: Revoke speed limit changes
4.17.1 Option Description: The Council will revoke its previous resolution to convert Aorangi Road, Condell Ave, Matsons Ave, and associated cul-de-sacs to 40km/h streets, and approve that these will retain their existing speed limit (50km/h).
All signage and road markings associated with the speed limit change would be removed from the design. All other features would be installed as per the approved design.
4.17.2 Option Advantages
· No budget would be spent on re-consultation, or signage and marking associated with speed limit reductions that are not already in place. Additional cost is limited to a drawing update and some administrative changes.
· No additional resource is required to produce specialist information, carry out consultation, and produce a report to the Council.
· Reduces confusion of having some local roads off the MCR route being one speed limit, and others being another.
4.17.3 Option Disadvantages
· Creates inconsistent speed limits along the MCR route when travelling north from the university. The MCR route follows 40km/h roads along Ilam Road, before it would switch to 50km/h roads along Aorangi/Condell/Matsons.
· Speed limits would not reinforce the cycle priority nature of the route.
· May not reflect public sentiment: during the original cycleway consultation, a number of submitters expressed support for the lower speeds. From Attachment D of the report to Hearings Panel (15 November 2021):
“We received 29 submissions on the proposal to reduce the speed limit to 40km/h along the entire route. Of those, 23 were in support of the speed reduction - five requested the speed drop to 30km/h and four requested speed humps along the route.
Five submitters were in opposition to the reduced speed.”
4.18 Alternative Option - Consult on reducing to a 40km/h speed limit.
4.18.1 Option Description: Staff consult on changing the speed limit along Aorangi Road (Ilam to Condell); Condell Ave (Aorangi to Matsons); and Matsons Ave (Condell to Harewood).
· This would not apply to associated cul-de-sacs: speed limit changes and these would need to be revoked.
· Public feedback, along with Detailed Traffic Resolutions, would then be brought to the Council for consideration. Given the timeframes, it is extremely likely that any report to the Council will be after the local body elections.
4.18.2 Option Advantages
· Better aligns with original approval.
· Reinforces the expected operational speeds along the corridor.
· Better reflects the wishes of a number of submitters to the original scheme.
4.18.3 Option Disadvantages
· Cost and resource to produce consultation information, carry out public consultation, and produce a report to the Council.
· Potential for re-visit costs to install signage and marking in areas where construction work is complete.
Analysis Criteria Ngā Paearu Wetekina
4.19 Staff believe the decision is finely balanced, and a strong case for either option could be put forward.
4.19.1 There are clear benefits to having a lower speed limit: it would likely improve perceptions of safety; would reinforce the cycle priority intent of the corridor; would be consistent with the physical design; and reflects public support from the original consultation.
4.19.2 Staff believe that the physical design (narrower road corridor, texture changes, etc) will naturally curb higher speeds along this corridor, even in the event that the speed limit is not reduced.
4.19.3 Maintaining the existing speed limit is the easiest from an operational point of view, as it will not impact on staff time and resource availability, would eliminate any additional costs associated with carrying out consultation, and alleviate concerns around consultation fatigue in this area.
4.20 International and local evidence demonstrates that reducing speed limits to around the 30km/h mark typically improves safety. This is due to the reduced likelihood of having accidents, and lower severity outcomes in the event that an accident should occur.
4.20.1 From a purely safety perspective, therefore, it is likely that the alternative option would lead to better safety outcomes over the life of the asset.
4.20.2 However, the Major Cycleway Routes are typically separated facilities, so there are a number that operate successfully with similar layouts and speed limits to that proposed, for example: Frankleigh Street/Sparks Road (Quarryman’s Trail); Main South Road (South Express); and Hansons Lane (Nor’West Arc).
5. Financial Implications Ngā Hīraunga Rauemi
Capex/Opex Ngā Utu Whakahaere
|
|
Recommended Option: Revoke speed limit changes |
Alternative Option: Consult for 40km/h |
|
Cost to Implement |
$5,000 |
$45,000 * |
|
Maintenance/Ongoing Costs |
Small reduction due to fewer signs and removal of threshold treatments |
No change from approved design |
|
Funding Source |
#23101 - Major Cycleway - Nor'West Arc Route (Section 3) University to Harewood |
#23101 - Major Cycleway - Nor'West Arc Route (Section 3) University to Harewood |
|
Funding Availability |
Yes |
Yes |
|
Impact on Rates |
<0.01% |
<0.01% |
* This includes an estimate for a revisit to install signs and all other features
5.1 The majority of the estimated implementation cost in Option 2 is related to the resource cost of producing information, carrying out the consultation and associated marketing costs, and writing and approving the decision report.
5.1.1 There are other costs to the Council for this process that are booked to overheads that are therefore not included in this figure, for example: management oversight and reviews, working time from the engagement and communication teams, etc.
6. Considerations Ngā Whai Whakaaro
Risks and Mitigations Ngā Mōrearea me ngā Whakamātautau
6.1 Budget risk: re-consultation and re-design have not been factored into the cost of the project. These additional costs are expected to be relatively small for a Transport project and would be expected to be incorporated through the contingency allowances.
6.2 Engineering/delivery risk: none above BAU
6.3 Reputational risk: There may be a perception from the public that any re-consultation is due to a Council mistake or omission. The reasons for needing to reconsult will be clearly communicated through the supporting information.
6.4 Political risk: Speed limit changes are often contentious, and consultation and decision-making would be required in the lead up to local body elections.
Legal Considerations Ngā Hīraunga ā-Ture
6.5 Statutory and/or delegated authority to undertake proposals in the report:
6.5.1 The Council is the delegated authority for recommending changes to speed limits.
6.6 Other Legal Implications:
6.6.1 The other legal implications related to the speed limit changes are set out in the body of this report. There is no further legal context, issue, or implication relevant to this decision.
Strategy and Policy Considerations Te Whai Kaupapa here
6.7 The required decision:
6.7.1 Aligns with the Christchurch City Council’s Strategic Framework. As this decision relates to the potential need for consultation, it specifically aligns with the “Build trust and confidence” strategic priority.
6.7.2 Is assessed as medium significance based on the Christchurch City Council’s Significance and Engagement Policy. The level of significance was determined by the large numbers of people who are resident along the route, the high interest in the MCR programme, and recent political and media interest in the design of Section 3 of Nor’West Arc. However, the overall impact of the speed limit change is low and reversable.
6.7.3 Is consistent with the Council’s Plans and Policies.
6.8 This report supports the Council's Long Term Plan (2024 - 2034):
6.9 Transport
6.9.1 Activity: Transport
· Level of Service: 10.0.6.1 Reduce the number of death and serious injury crashes on the local road network (DIA 1) - 4 less than previous FY
· Level of Service: 10.0.6.2 Reduce the number of death and serious injury crashes on the local road network - Five year rolling average <100 crashes per year
· Level of Service: 10.5.1 Limit deaths and serious injury crashes per capita for cyclists and pedestrians - <=12 crashes per 100,000 residents
· Level of Service: 10.5.2 Improve the perception (resident satisfaction) that Christchurch is a cycling friendly city - >=67%
· Level of Service: 16.0.10 Maintain the perception (resident satisfaction) that Christchurch is a walking friendly city - >=85% resident satisfaction
Community Impacts and Views Ngā Mariu ā-Hāpori
6.10 The decision affects the following wards/Community Board areas:
6.10.1 Waipapa Papanui-Innes-Central Community Board
6.10.2 Waimāero Fendalton-Waimairi-Harewood Community Board
6.11 However, the Nor’West Arc cycleway continues south into two other board areas, so they may also have an interest in the design for this section:
6.11.1 Waipuna Halswell-Hornby-Riccarton Community Board
6.11.2 Waihoro Spreydon-Cashmere-Heathcote Community Board
Impact on Mana Whenua Ngā Whai Take Mana Whenua
6.12 The decision does not involve a significant decision in relation to ancestral land, a body of water or other elements of intrinsic value, therefore this decision does not specifically impact Mana Whenua, their culture, and traditions.
6.13 The decision does not involve a matter of interest to Mana Whenua and will not impact on our agreed partnership priorities with Ngā Papatipu Rūnanga.
Climate Change Impact Considerations Ngā Whai Whakaaro mā te Āhuarangi
6.14 The decisions in this report are likely to:
6.14.1 Contribute neutrally to adaptation to the impacts of climate change.
6.14.2 Contribute positively to emissions reductions.
6.15 This recommendation may slightly suppress cycle use along the Major Cycle Route. However, the effect is likely to be small.
7. Next Steps Ngā Mahinga ā-muri
7.1 Depending on the decision, staff will:
· Remove all speed limit changes that have not yet been installed from the design of Nor’West Arc Section 3; or
· Consult with the public on changing Aorangi Road, Condell Ave and Matsons Ave – along the length of the cycleway – to a 40km/h speed limit.
Attachments Ngā Tāpirihanga
|
No. |
Title |
Reference |
Page |
|
a ⇨ |
Memo - Setting of Speed Limits Rule (Under Separate Cover) |
25/1041851 |
|
|
b ⇩ |
Nor'West Arc design as Approved 03 Feb 2022 |
25/1199688 |
278 |
|
c ⇩ |
Minutes of Urban Development & Transport Committee 3 February 2022 |
25/1326579 |
290 |
|
d ⇩ |
Minutes of Council - Thursday, 25 August 2022 |
25/1326580 |
293 |
In addition to the attached documents, the following background information is available:
|
Document Name – Location / File Link |
|
Not applicable
|
Signatories Ngā Kaiwaitohu
|
Authors |
Jacob Bradbury - Manager Planning & Delivery Transport Clarrie Pearce - Senior Project Manager |
|
Approved By |
Ron Lemm - Manager Legal Service Delivery Lynette Ellis - Head of Transport & Waste Management Brent Smith - General Manager City Infrastructure |
1. Purpose and Origin of the Report Te Pūtake Pūrongo
1.1 The purpose of this report is for the Council to consider next steps for Worcester Street, where its previously approved speed limit changes cannot now be installed due to a change in the law.
1.2 The report is in response to the Land Transport Rule: Setting of Speed Limits 2024 which came into force in October 2024, and after feedback from Councillors during an Information Session held on 20 May 2025.
1.3 Background to the change in the law was supplied to Elected Members via Memo on 14 April 2025, and supplied here as Attachment A.
2. Officer Recommendations Ngā Tūtohu
That the Council:
1. Receives the information in the Setting of Speed Limits Rule 2024: Management of Non-Installed Limits - Worcester Street (Latimer Square to Fitzgerald Ave) Report.
2. Notes that the decision in this report is assessed as low significance based on the Christchurch City Council’s Significance and Engagement Policy.
3. In accordance with the requirements set out in the Land Transport Rule: Setting of Speed Limits 2024:
a. Revokes the 30km/h speed limits established for Worcester Street between Latimer Square East and Fitzgerald Avenue (Council Meeting 12 May 2022 (CNCL/2022/00055), resolutions 23 – 28 as specified in Attachment C of this report); and
b. Approves that the existing 50km/h speed limit be retained for Worcester Street (Latimer Square East to Fitzgerald Avenue).
4. Revokes the following resolutions related to layout and associated operational changes along Worcester Street made by the Council at its 12 May 2022 meeting (CNCL/2022/00055 and as specified in Attachment C of this report):
a. General approval of layouts and stopping lines (resolution 5).
b. Localised education around the use of sharrows (resolution 6).
c. Road markings, kerb alignments and road surface changes west of Latimer Square (resolution 12).
e. Road markings, kerb alignments, and road surface changes at the Worcester Street - Barbadoes Street intersection (resolution 16).
f. Road markings, kerb alignments, road surface changes, road hump, and parking and stopping restrictions Barbadoes Street to Fitzgerald Ave (resolutions 17 to 22).
5. Approves that Worcester Street (Manchester to Fitzgerald) is removed from the scope of #52228 Cycle Facilities & Connections Improvements.
3. Executive Summary Te Whakarāpopoto Matua
3.1 Due to changes in the law, it is not possible to install the changes to speed limits that were approved before the date the law came into force.
3.1.1 This has affected the change to 30km/h speed limits previously approved for Worcester Street between Latimer Square and Fitzgerald Avenue. These are currently 50km/h.
3.1.2 There is no mechanism for the Council to install a 30km/h speed limit on these streets, with the closest limit available being 40km/h.
3.1.3 Any change in speed limit requires public consultation and a further Council decision.
3.2 Staff are therefore seeking direction from the Council on the proposed changes:
3.2.1 Whether it wishes to consult on changing to a 40km/h speed limit or retain the existing 50km/h speed limit.
3.2.2 Whether other proposed marking and layout changes should be removed from the scope of the project.
3.3 The staff recommendation is to retain the existing layouts and speed limits (50km/h). This is due to:
3.3.1 Traffic count data from 2010 suggests the street operates safely without changes: appropriate numbers of vehicles (<1,000vpd) and average speeds ~34km/h for a greenway-style cycle treatment.
3.3.2 Most of the approved design features are there to support the speed limit changes, so would need to be re-considered and re-approved in light of any speed limit changes.
3.3.3 The additional cost and time associated with consultation, redesign and approval, and installation of the new design. Due to the requirements of the law and local government elections, it is extremely likely that any Council recommendation to request a speed limit change from the Director of Land Transport would happen after local body elections.
4. Background/Context Te Horopaki
Speed Limit Rule Changes
4.1 On 28 September 2024, the Land Transport Rule: Setting of Speed Limits 2024 was signed, before coming into force on the 30 October 2024.
4.1.1 The Rule change was widely publicised as reversing previous blanket speed limit changes.
4.1.2 Further, it also does not allow for implementation of speeds which have not yet been installed, that were set by the Council under the Setting of Speed Limits 2022 Rule or previous Council Bylaws.
4.2 For all future speed limit changes on existing roads, the Rule also places restrictions on Road Controlling Authorities (RCAs) around the limits that can be set, depending on the street classification.
4.2.1 Most notably, it is no longer possible to install 30km/h limits on normal urban streets.
4.2.2 The full list of urban street classifications and allowable speed limits is shown in Schedule 3 (page 58) of Attachment A.
4.3 The process for changing speed limits has changed in recent years compared to the previous rules and bylaws. Key facets of the requirements in the 2024 Rule are:
4.3.1 Any proposed change to speed limits must be submitted to the Director of Land Transport for approval.
4.3.2 In order to submit proposals for consideration, the Council must have carried out a public consultation process with the following requirements:
· Minimum consultation period of 6 weeks, notified on an internet site.
· The material must include information showing:
o The role and function of the road; how the road is used (including the different types of road user); and why a speed limit change has been proposed rather than any other speed management intervention.
o An explanation of how the road safety aspects of the [Government Policy Statement] have been had regard to.
o A cost benefit disclosure statement.
· Must have used reasonable efforts to reach a number of groups, including: schools, communities, road users (including freight providers), businesses, and adjoining RCAs.
· Must have reasonably practicable efforts to consult with Māori where the changes affect Māori land or land subject to any Māori claims settlement act.
4.3.3 A summary of feedback must be provided, including an explanation of how feedback was taken into account in any final draft plan. This point in particular is no change to the current engagement processes.
4.3.4 The RCA must have considered this information and feedback when making a decision about their proposal for the speed limit on a piece of road.
Affected Council Projects
4.4 The Council has identified a number of projects with speed limit changes that have been approved, but - due to the law changes - cannot be installed in their current form.
4.4.1 Two of these projects have, or are, being dealt with separately:
· Gloucester Street: Council decision to retain the pre-existing speed limit of 30km/h (Council meeting 16 April 2025).
· Te Kaha Surrounding Streets: At the time of writing, the Council is consulting on amended speed limits.
4.4.2 Three remaining projects require an agreement from the Council on how to proceed:
· Antigua Street (Moorhouse to St Asaph).
· Worcester Street (Latimer Square to Fitzgerald Ave).
· Nor’West Arc along Aorangi Road, Condell Ave and Matsons Ave (Ilam Road to Harewood Road).
Worcester Street (Lichfield to Fitgerald)
4.5 The design for Worcester Street between Manchester Street and Fitzgerald Avenue was approved at the Council meeting of 12 May 2022 (see Attachment B), following the design and feedback being considered by a Hearings Panel which convened on 11 April 2022.
4.5.1 Between Manchester Street and Latimer Square the speed limit was already 30km/h, and the approvals were for Sharrow markings to support the speed limit changes, and a shared path through Latimer Square.
4.5.2 From Latimer Square to Fitzgerald Ave there were resolutions to change the speed limit from 50km/h to 30km/h. Other elements of the approved design are mostly in place to support the slower speeds and function as a connector to the Rapanui-Shag Rock Major Cycleway.
4.6 The delivery of this work is funded from #52228 Cycle Facilities & Connection Improvements.
4.6.1 At the Finance and Performance Meeting of 22 February 2023, this project was identified for a deferral to free up resources for the Transport Choices projects.
4.6.2 When the Transport Choices programme was cut, staff brought a report to the 28 February 2024 Finance and Performance meeting with a list of projects to restart. This was not one of the identified projects, so funding had not been made available for delivery until after the approval of the 24-34 Long Term Plan.
4.6.3 Beyond the Worcester Street scope, this project also includes two other pieces of work:
· Works to the planter beds north of the Antigua Street bridge, which was approved by the Council on 22 May 2022. At the time of writing this work is underway.
· Changes to Armagh Street between Park Terrace and the Avon River, which are mostly road marking and signage, although they require the removal of a number of on-street parks. This was approved by the Council on 7 July 2022, and has not yet been delivered.
4.6.4 The project does not currently have available funding to deliver all the scope. There is currently funding to complete the Antigua Street bridge works, and either the Armagh Street or Worcester Street works.
Planning Context
4.7 In the Streets and Spaces Design Guide, this section of Worcester Street is identified as a Slow Street, with a function as a priority cycle route.
4.7.1 West of Latimer Square is within the maximum 30km/h core zone, and east of Latimer Square is identified as a maximum 50km/h zone.
4.7.2 While there is not a specific recommended cross section for this part of Worcester Street, the example layout of a Slow Street from the guide is shown below.

4.8 To the east of Fitzgerald Ave, Worcester Street marks the beginning of the Rapanui-Shag Rock Major Cycleway.
4.8.1 This has a “Neighbourhood Greenway” style design where cyclists and vehicles mix on a street with traffic calming measures. This has a 30km/h speed limit.
Current Usage
4.9 Traffic counts were last taken in September 2020. These showed:
· Average daily traffic of 868 vehicles per day, of which 3.3% are heavy vehicles
· Average speed: 33.6km/h
· 85%ile speed: 44.0km/h
4.9.2 It is noted that these numbers could be affected by COVID-related changes in travel patterns. However, the previous counts were taken in March 2018 and show very similar traffic numbers.
4.9.3 Staff observations are that there are typically low traffic numbers and speeds currently using the street, which would suggest that these traffic numbers are probably a reasonable representation of current usage.
4.10 There is no cycle counter on this section of road, however, there is a one-way cycle counter on Worcester Street a block away (just east of the Worcester/Stanmore Rd intersection). If we assume that the majority of cyclists continue across Fitzgerald Ave, and that eastbound and westbound flows are relatively similar, this works out to:
· Average cycle movements: ~200 per day
4.11 Should the 50km/h speed limit remain, the operating speeds will differ from the posted speed. This may discourage some interested but concerned cyclists from trying the route.
4.12 Due to the requirements of the 2024 Rule, and timelines for Local Government elections, it is extremely unlikely that any speed limit changes could be approved ahead of the completion of construction.
Options Considered Ngā Kōwhiringa Whaiwhakaaro
4.13 The following reasonably practicable options were considered and are assessed in this report:
4.13.1 Retain existing layout / 50km/h speed limit.
4.13.2 Consult on reducing to a 40km/h speed limit.
4.13.3 Install features not associated with a lower speed limit.
4.14 The following options were considered but ruled out:
4.14.1 Install previously approved 30km/h speed limit – This does not meet the requirements of the current speed limit rule.
Options Descriptions Ngā Kōwhiringa
4.15 Preferred Option: Retain existing layout
4.15.1 Option Description: The Council will revoke its previous resolution to convert the street to a 30km/h speed limit. In this option, no further work is carried out on the street, and this street would be removed from the scope of the project.
4.15.2 Option Advantages
· No further budget is spent, allowing other works within the project scope to be completed.
· No additional staff costs to produce specialist information, carry out consultation, and produce a report to the Council.
· 50km/h speed limit aligns with Central City Transport Plan (Streets and Spaces design guide).
4.15.3 Option Disadvantages
· Creates inconsistent speed limits: along Worcester Street, the speed is 30km/h east of Fitzgerald; and also 30km/h west of Latimer Square. (Noting however, that this inconsistency cannot be resolved as 30km/h is not possible to achieve, and also that it is not possible for vehicles to travel this length of Worcester Street due to restrictions on vehicle movements at both Latimer Square and Fitzgerald Ave).
· Likely incongruity between operational and posted speeds along corridor.
· A number of the original submitters expressed support for the works at that time.
4.16 Alternative Option - Consult on reducing to a 40km/h speed limit.
4.16.1 Option Description: Staff continue to public consultation on changing the speed along Worcester Street between Latimer Square and Fitzgerald Ave. The design will be tweaked, and a report brought to the Council to approve a change to a 40km/h speed limit on those sections where it is currently 50km/h.
Given the timeframes, it is extremely likely that any report to the Council will be after local elections.
4.16.2 Option Advantages
· Better aligns with original approval.
· Reinforces the expected operational speeds along the corridor.
· Better reflects the wishes of a few submitters to the original scheme.
4.16.3 Option Disadvantages
· Cost and effort to produce consultation information, carry out public consultation, and produce report to the Council.
· Additional budget would be required to re-design and deliver the works.
· Perceived confusion between 40km/h and 30km/h speed limits along the corridor (noting that there is no option that can resolve this at this time).
4.17 Alternative Option - Install features not associated with lower speed limit.
4.17.1 Option Description: Install all features that are not directly associated with the change in speed limit. For clarity, this would mean that following are installed:
Manchester Street - Latimer Square:
· Sharrow markings.
Latimer Square – Fitzgerald Ave:
· Sharrow markings.
· Advance cycle stop lines.
· Speed bump.
4.17.2 Option Advantages
· Clearly signals a cycle priority route on link road to Major Cycleway.
· A few submitters to the original scheme were supportive of traffic calming measures.
4.17.3 Option Disadvantages
· Additional budget would be required to deliver the works.
· Perceived confusion between 50km/h and 30km/h speed limits along the corridor (noting that there is no option that can resolve this at this time).
· East of Latimer Square, the road geometry does not lend itself to the use of sharrows: NZTA best practice is that sharrows are only required where lane widths are over 3.8m wide; and the distance between parking ticks on this section is around 9.9m.
Analysis Criteria Ngā Paearu Wetekina
4.18 Staff have recommended retaining the existing layout for the following reasons:
· Street already operates close to appropriate speed and volumes
· Staff time and cost associated with consulting on lower speed limits
· There is not available budget to deliver the scope as approved
4.18.2 However, staff also note that this would leave operating and posted speeds that are not aligned, and does not deliver a scheme that had support during consultation.
5. Financial Implications Ngā Hīraunga Rauemi
Capex/Opex Ngā Utu Whakahaere
|
|
Recommended Option Do Nothing |
Option 2 Consult for 40km/h |
Option 3 Install features not associated with speed limit changes |
|
Cost to Implement |
$0 |
$32,000 for consultation
Plus $150,000 for installation if approved |
$10,000 for design changes, local consultation and decision
Plus $140,000 for installation if approved |
|
Maintenance/Ongoing Costs |
No change |
$1,240 |
$600 |
|
Funding Source |
N/A |
#52228 Cycle Facilities & Connection Improvements |
#52228 Cycle Facilities & Connection Improvements |
|
Funding Availability |
N/A |
Requires additional budget through Annual or Long Term Plan |
Requires additional budget through Annual or Long Term Plan |
|
Impact on Rates |
N/A |
<0.01% |
<0.01% |
5.1 There are other costs to the Council for Options 2 and 3 that are booked to overheads and are therefore not included in this figure, for example: management oversight and reviews, working time from the engagement and communication teams, etc.
6. Considerations Ngā Whai Whakaaro
Risks and Mitigations Ngā Mōrearea me ngā Whakamātautau
6.1 Budget risk: re-consultation and re-design have not been factored into the cost of the project. While any costs are expected to be relatively small for a Transport project, there is currently no available budget, so a decision to go ahead would require commitment for additional budget to be added through a future Annual or Long Term Plan.
6.2 Engineering/delivery risk: none above BAU.
6.3 Reputational risk: There may be a perception from the public that any re-consultation is due to a Council mistake or omission. The reasons for needing to reconsult will be clearly communicated through the supporting information.
6.4 Political risk: Speed limit changes are often contentious, and consultation and decision-making would be required in the lead up to local elections.
Legal Considerations Ngā Hīraunga ā-Ture
6.5 Statutory and/or delegated authority to undertake proposals in the report:
6.5.1 The Council is the delegated authority for recommending changes to speed limits.
6.6 Other Legal Implications:
6.6.1 The other legal implications related to the speed limit changes are set out in the body of this report. There is no further legal context, issue, or implication relevant to this decision.
Strategy and Policy Considerations Te Whai Kaupapa here
6.7 The required decision:
6.7.1 Aligns with the Christchurch City Council’s Strategic Framework. As this decision relates to the potential need for consultation, it specifically aligns with the “Build trust and confidence” strategic priority.
6.7.2 Is assessed as low significance based on the Christchurch City Council’s Significance and Engagement Policy. The level of significance was determined by assuming that the impacts are broadly similar to Antigua Street (which was assessed as low) but affecting fewer people due to the lower numbers of users of the corridor.
6.7.3 Is consistent with the Council’s Plans and Policies.
6.8 This report supports the Council's Long Term Plan (2024 - 2034):
6.9 Transport
6.9.1 Activity: Transport
· Level of Service: 10.0.6.1 Reduce the number of death and serious injury crashes on the local road network (DIA 1) - 4 less than previous FY
· Level of Service: 10.0.6.2 Reduce the number of death and serious injury crashes on the local road network - Five year rolling average <100 crashes per year
· Level of Service: 10.5.1 Limit deaths and serious injury crashes per capita for cyclists and pedestrians - <=12 crashes per 100,000 residents
· Level of Service: 10.5.2 Improve the perception (resident satisfaction) that Christchurch is a cycling friendly city - >=67%
· Level of Service: 16.0.10 Maintain the perception (resident satisfaction) that Christchurch is a walking friendly city - >=85% resident satisfaction
Community Impacts and Views Ngā Mariu ā-Hāpori
6.10 The decision affects the following wards/Community Board areas:
6.10.1 Waipapa Papanui-Innes-Central Community Board
6.11 This section of road leads to the Rapanui-Shag Rock Major Cycleway, so may impact on people travelling from within the Community Board areas of Waitai Coastal-Burwood-Linwood Community Board; and Waihoro Spreydon-Cashmere-Heathcote Community Board.
Impact on Mana Whenua Ngā Whai Take Mana Whenua
6.12 The decision does not involve a significant decision in relation to ancestral land, a body of water or other elements of intrinsic value, therefore this decision does not specifically impact Mana Whenua, their culture, and traditions.
6.13 The decision does not involve a matter of interest to Mana Whenua and will not impact on our agreed partnership priorities with Ngā Papatipu Rūnanga.
Climate Change Impact Considerations Ngā Whai Whakaaro mā te Āhuarangi
6.14 The decisions in this report are likely to:
6.14.1 Contribute neutrally to adaptation to the impacts of climate change.
6.14.2 Contribute positively to emissions reductions.
6.15 This decision may slightly suppress cycle use along the Major Cycle Route.
7. Next Steps Ngā Mahinga ā-muri
7.1 Depending on the decision, staff will:
· Remove Worcester Street from the scope of #52228 Cycle Connections and Facilities;
· Consult with the public on changing Worcester Street (Latimer Square to Fitzgerald) to a 40km/h speed limit, before reporting back to Council, or;
· Re-design the project so all features not directly associated with the speed limit change can be installed. This will require a further decision by the Council.
Attachments Ngā Tāpirihanga
|
No. |
Title |
Reference |
Page |
|
a ⇨ |
Memo - Setting of Speed Limits Rule - Refer Item 19, Attachment A (Under Separate Cover) |
25/1041851 |
|
|
b ⇩ |
Worcester Street - Approved Design 12 May 2022 |
25/1191945 |
319 |
|
c ⇩ |
Worcester Street Resolutions - 12 May 2022 |
25/1260465 |
320 |
In addition to the attached documents, the following background information is available:
|
Document Name – Location / File Link |
|
Not applicable
|
Signatories Ngā Kaiwaitohu
|
Authors |
Jacob Bradbury - Manager Planning & Delivery Transport Chris Strydom - Project Manager |
|
Approved By |
Ron Lemm - Manager Legal Service Delivery Lynette Ellis - Head of Transport & Waste Management Brent Smith - General Manager City Infrastructure |
1. Purpose and Origin of the Report Te Pūtake Pūrongo
1.1 The purpose of this report is for the Council to consider next steps for Antigua Street, where its previously approved speed limit changes cannot now be installed due to a change in the law.
1.2 The report is in response to the Land Transport Rule: Setting of Speed Limits 2024 which came into force in October 2024, and after feedback from Councillors during an Information Session held on 20 May 2025.
1.3 Background to the change in the law was supplied to Elected Members via Memo on 14 April 2025, and supplied here as Attachment A.
2. Officer Recommendations Ngā Tūtohu
That the Council:
1. Receives the information in the Setting of Speed Limits Rule 2024: Management of Non-Installed Limits - Antigua Street (Moorhouse to St Asaph) Report.
2. Notes that the decision in this report is assessed as low significance based on the Christchurch City Council’s Significance and Engagement Policy.
3. In accordance with the requirements set out in the Land Transport Rule: Setting of Speed Limits 2024:
a. Revokes the following 30km/h speed limits established for the full length of Halkett Street and for Antigua Street between Moorhouse Ave and St Asaph Street (Council meeting 12 May 2022 (CNCL/2022/00055], resolutions 32 and 33:
32. Approves that the speed limit on Antigua Street from its intersection with Saint Asaph Street to its intersection with Moorhouse Avenue be set at 30 kilometres per hour.
33. Approves that the speed limit on Halkett Street, from its intersection with Antigua Street to its eastern road termination, be set at 30 kilometres per hour.
b. Approves that the existing 50km/h speed limit be retained for:
i. Halkett Street (Antigua Street to eastern road termination).
ii. Antigua Street (Moorhouse Ave – St Asaph Street).
3. Executive Summary Te Whakarāpopoto Matua
3.1 Due to changes in the law, it is not possible to install the changes to speed limits that were approved before the date the law came into force.
3.1.1 This has affected the change to 30km/h speed limits previously approved for Halkett Street, and Antigua Street between Moorhouse Ave and St Asaph Street. These are currently 50km/h.
3.1.2 There is no mechanism for the Council to install a 30km/h speed limit on these streets, with the closest limit available being 40km/h.
3.1.3 Any change in speed limit requires public consultation and a further Council decision.
3.2 Staff are therefore seeking direction from the Council around whether to retain the existing 50km/h speed limit or consult on changing to a 40km/h speed limit.
3.3 The Officer recommendation is to retain the existing speed limits (50km/h). This is due to:
3.3.1 The additional cost and time associated with consultation and installation of new speed limit signs. Due to the requirements of the law and local government elections, it is extremely likely that:
· The Council recommendation to request a speed limit change from the Director of Land Transport would happen after local body elections.
· Installation of speed limit signs would happen after the main works are complete, incurring re-visit costs.
3.3.2 Conflict points between different users is expected to be low, except at locations where speed can be well managed:
· The design includes physical separation between vehicles, cyclists, and pedestrians.
· Operational speeds are expected to be close to the safe zone due to physical treatments such as narrowings and vertical deflection.
· Due to the developments in the area, there is not expected to be much crossing of the corridor other than at formal crossing points (with signals or vertical deflection).
3.3.3 Noting that there would be a likely incongruity between posted and operational speeds.
4. Background/Context Te Horopaki
Speed Limit Rule Changes
4.1 On 28 September 2024, the Land Transport Rule: Setting of Speed Limits 2024 was signed, before coming into force on the 30 October 2024.
4.1.1 The Rule change was widely publicised as reversing previous blanket speed limit changes.
4.1.2 However, it also does not allow for implementation of speeds which have not yet been installed, that were set by Council under the Setting of Speed Limits 2022 Rule or previous Council Bylaws.
4.2 For all future speed limit changes on existing roads, the Rule also places restrictions on Road Controlling Authorities (RCAs) around the limits that can be set, depending on the street classification.
4.2.1 Most notably, it is no longer possible to install 30km/h limits on normal urban streets.
4.2.2 The full list of urban street classifications and allowable speed limits is shown in Schedule 3 (page 58) of Attachment A.
4.3 The process for changing speed limits has changed in recent years compared to the previous rules and bylaws. Key requirements in the 2024 Rule are:
4.3.1 Any proposed change to speed limits must be submitted to the Director of Land Transport for approval.
4.3.2 In order to submit proposals for consideration, the Council must have carried out a public consultation process with the following requirements:
· Minimum consultation period of 6 weeks, notified on an internet site
· The material must include information showing:
o The role and function of the road; how the road is used (including the different types of road user); and why a speed limit change has been proposed rather than any other speed management intervention.
o An explanation of how the road safety aspects of the [Government Policy Statement] have been had regard to.
o A cost benefit disclosure statement.
· Must have used reasonable efforts to reach a number of groups, including: schools, communities, road users (including freight providers), businesses, and adjoining RCAs.
· Must have reasonably practicable efforts to consult with Māori where the changes affect Māori land or land subject to any Māori Claims Settlement Act.
4.3.3 A summary of feedback must be provided, including an explanation of how feedback was taken into account in any final draft plan. This point in particular is no change to the current engagement processes that are undertaken.
4.3.4 The RCA must have considered this information and feedback when making a decision about their proposal for the speed limit on a piece of road.
Affected Council Projects
4.4 The Council has identified a number of projects with speed limit changes that have been approved, but - due to the law changes - cannot be installed in their current form.
4.4.1 Two of these projects have, or are, being dealt with separately:
· Gloucester Street: the Council decision to retain the pre-existing speed limit of 30km/h (Council meeting 16 April 2025).
· Te Kaha Surrounding Streets: At the time of writing, the Council is consulting on amended speed limits.
4.4.2 Three remaining projects require an agreement from the Council on how to proceed:
· Antigua Street (Moorhouse to St Asaph).
· Worcester Street (Latimer Square to Fitzgerald Ave).
· Nor’West Arc along Aorangi Road, Condell Ave and Matsons Ave (Ilam Road to Harewood Road).
Antigua Street (Moorhouse to St Asaph)
4.5 The design for Antigua Street between Moorhouse Ave and St Asaph was approved at the Council meeting of 12 May 2022 (see Attachment B).
4.5.1 Included with this were resolutions to change the speed limit from 50km/h to 30km/h along the length of Halkett Street, and along Antigua Street between St Asaph Street to Moorhouse Ave.
4.5.2 The design of the street requires a transfer of land that is currently part of the Parakiore Metro Sports Centre site. Due to delays with the construction of this facility, the street upgrade works were not able to progress to construction until mid-2025. At the time of writing these works are underway, and are expected to be completed by November 2025.
Context
4.6 In the Streets and Spaces Design Guide, this section of street sits outside the identified 30km/h core zone, although is identified as a priority cycle route.
4.7 Traffic counts were last taken in August 2023. These showed:
· Average daily traffic 6,060 vehicles per day, of which 6.4% are heavy vehicles
· Average speed: 32.7km/h
· 85%ile speed: 40.4km/h
4.7.2 There is no cycle counter on this section of road, however, there is a one-way cycle counter just south of Moorhouse Ave. If we assume that the majority of cyclists continue across Moorhouse Ave, and that northbound and southbound flows are relatively similar, this works out to:
· Average cycle movements: ~1,100 per day
4.7.3 It should be noted that in August 2023, due to the construction of Parakiore, there was no footpath and a fence against the western edge of Antigua Street, and temporary cycle lanes painted on the road. Therefore, the data from these counts may be unrepresentative of the road under “normal” conditions.
4.8 There are a number of features of the approved design which are expected to improve safety from the current layout. These include:
· Fully separated, uni-directional cycleways on both sides
· Footpaths behind the cycleways, providing separation between pedestrians and cyclists
· 2 speed humps at either end of the road, with a further mid-block raised crossing between Halkett Street and the southern edge of Parakiore
4.8.2 There is very little on the western side of the road that would attract people to cross away from the formal crossing points.
4.9 Staff believe that the street will mostly operate in a safe manner without speed limit changes, due to:
· Vertical deflection features should keep speeds in the safe zone, particularly at the formal crossing points
· Development patterns mean most users will travel along the corridor, rather than across it
· The physical separation, which will reduce conflicts between users
4.10 However, it is acknowledged that, should the 50km/h speed limit remain, the expected and desirable speeds will differ from the posted speed.
4.11 Due to the requirements of the 2024 Rule, and timelines for Local Government elections, it is extremely unlikely that any speed limit changes could be approved ahead of the completion of construction.
4.12 The following related memos/information were circulated to the meeting members:
|
Date |
Subject |
|
14 Apr 2025 |
Setting of Speed Limits Rule: Impact on Capital Projects |
|
15 Apr 2025 |
Antigua St Cycleway Project – Purchase of Orion Land Title |
|
2 May 2025 |
Antigua Street Cycle Network (Tuam – Moorhouse) and Watermain Renewal- Contract Award |
4.13 The following related information session/workshops have taken place for the members of the meeting:
|
Date |
Subject |
|
23 Jul 2025 |
Antigua Street – Design and Options to Proceed (Information Session) |
|
26 Feb 2025 |
Antigua Street – Request to proceed ahead of Annual Plan completion (Finance & Performance) |
Options Considered Ngā Kōwhiringa Whaiwhakaaro
4.14 The following reasonably practicable options were considered and are assessed in this report:
4.14.1 Make no change to permanent speed limit.
4.14.2 Consult on a 40km/h speed limit.
4.15 The following options were considered but ruled out:
4.15.1 Install previously approved 30km/h speed limit – This does not meet the requirements of the current speed limit rule.
Options Descriptions Ngā Kōwhiringa
4.16 Preferred Option: Option 1 - Make no change to permanent speed limit.
4.16.1 Option Description: Council will revoke its previous resolution to convert the street to a 30km/h speed limit. The street will revert back to the existing 50km/h speed limit.
4.16.2 Option Advantages
· No additional revisit cost to install new signs.
· No additional staff costs to produce specialist information, carry out consultation, and produce a report to the Council.
· 50km/h speed limit aligns with Central City Transport Plan (Streets and Spaces design guide).
· No perceived confusion due to multiple speed limits in a short stretch of road.
4.16.3 Option Disadvantages
· Likely incongruity between operational and posted speeds along corridor.
· A number of the original submitters expressed support for the change to a 30km/h speed limit that was proposed at that time.
4.17 Option 2 - Consult on a 40km/h speed limit.
4.17.1 Option Description: Staff continue to public consultation on changing the speed along Halkett Street and Antigua Street between Moorhouse Ave and St Asaph Street. Given the timeframes, it is extremely likely that any report to the Council will be after local elections, as well as after the project is complete.
4.17.2 Option Advantages
· Better aligns with original approval.
· Reinforces the expected operational speeds along the corridor.
· Better reflects the wishes of a number of submitters to the original scheme.
4.17.3 Option Disadvantages
· Cost and effort to produce consultation information, carry out public consultation, and produce report to the Council.
· Should the Council choose to reduce the speed limit, there will be a further revisit cost as the current project is completed.
· Perceived confusion between speed limits: Antigua at 40km/h, with 50km/h streets to the south and 30km/h streets to the north.
Analysis Criteria Ngā Paearu Wetekina
4.18 The Officer recommendation is to retain the existing speed limits (50km/h). This is due to:
· The additional costs associated with consultation and installation of new speed limit signs.
· Operational speeds are expected to be close to the safe zone due to physical treatments such as narrowings and vertical deflection.
· Due to the developments in the area, there is not expected to be much crossing of the corridor other than at formal crossing points (with signals or vertical deflection), so conflict between different users will be minimised and controlled.
5. Financial Implications Ngā Hīraunga Rauemi
Capex/Opex Ngā Utu Whakahaere
|
|
Recommended Option: Revert to existing speed limit |
Option 2: Consult on 40km/h speed limit |
|
Cost to Implement |
$0 ** |
$45,000 * |
|
Maintenance/Ongoing Costs |
$0 |
Negligible |
|
Funding Source |
N/A |
Project #59181 |
|
Funding Availability |
N/A |
|
|
Impact on Rates |
N/A |
<0.01% |
* This includes an estimate for the installation of signs
** The current contract for construction include the installation of 50km/h speed signs
5.1 The majority of the estimated implementation cost in Option 2 is related to the resource cost of producing information, carrying out the consultation and associated marketing costs, and writing and approving the decision report.
5.1.1 There are other costs to the Council for this process that are booked to overheads that are therefore not included in this figure, for example: management oversight and reviews, working time from the engagement and communication teams, etc.
6. Considerations Ngā Whai Whakaaro
Risks and Mitigations Ngā Mōrearea me ngā Whakamātautau
6.1 Budget risk: Consultation and/or changing signs has not been factored into the cost of the project. While the costs are expected to be small relative to the overall project budget, it will eat into contingency allowances, which may be required to complete the work already contracted. Mitigation is for staff to clearly communicate the likely costs to Elected Members ahead of deciding to consult.
6.2 Engineering/delivery risk: none above BAU
6.3 Reputational risk: There may be a perception from the public that any consultation is due to a Council mistake or omission. The reasons for needing to reconsult will be clearly communicated through the supporting information.
6.4 Political risk: Speed limit changes are often contentious, and consultation and decision-making would be required in the lead up to local elections.
Legal Considerations Ngā Hīraunga ā-Ture
6.5 Statutory and/or delegated authority to undertake proposals in the report:
6.5.1 The Council is the delegated authority for recommending changes to speed limits.
6.6 Other Legal Implications:
6.6.1 The other legal implications related to the speed limit changes are set out in the body of this report. There is no further legal context, issue, or implication relevant to this decision.
Strategy and Policy Considerations Te Whai Kaupapa here
6.7 The required decision:
6.7.1 Aligns with the Christchurch City Council’s Strategic Framework. As this decision relates to the potential need for consultation, it specifically aligns with the “Build trust and confidence” strategic priority.
6.7.2 Is assessed as low significance based on the Christchurch City Council’s Significance and Engagement Policy. The level of significance was determined by the low cost, impact and reversibility. This keeps the overall assessment score low, despite the likely public interest.
6.7.3 Is consistent with the Council’s Plans and Policies.
6.8 This report supports the Council's Long Term Plan (2024 - 2034):
6.9 Transport
6.9.1 Activity: Transport
· Level of Service: 10.0.6.1 Reduce the number of death and serious injury crashes on the local road network (DIA 1) - 4 less than previous FY
· Level of Service: 10.0.6.2 Reduce the number of death and serious injury crashes on the local road network - Five year rolling average <100 crashes per year
· Level of Service: 10.5.1 Limit deaths and serious injury crashes per capita for cyclists and pedestrians - <=12 crashes per 100,000 residents
· Level of Service: 10.5.2 Improve the perception (resident satisfaction) that Christchurch is a cycling friendly city - >=67%
· Level of Service: 16.0.10 Maintain the perception (resident satisfaction) that Christchurch is a walking friendly city - >=85% resident satisfaction
Community Impacts and Views Ngā Mariu ā-Hāpori
6.10 The decision affects the following wards/Community Board areas:
6.10.1 Waipapa Papanui-Innes-Central Community Board
6.10.2 The project sits adjacent to the boundary with the Waihoro Spreydon-Cashmere-Heathcote Community board area, with much of the travel to and from the site coming from this board area, so they are likely to retain a high level of interest.
Impact on Mana Whenua Ngā Whai Take Mana Whenua
6.11 The decision does not involve a significant decision in relation to ancestral land, a body of water or other elements of intrinsic value, therefore this decision does not specifically impact Mana Whenua, their culture, and traditions.
6.12 The decision does not involve a matter of interest to Mana Whenua and will not impact on our agreed partnership priorities with Ngā Papatipu Rūnanga.
Climate Change Impact Considerations Ngā Whai Whakaaro mā te Āhuarangi
6.13 The decisions in this report are likely to:
6.13.1 Contribute neutrally to adaptation to the impacts of climate change.
6.13.2 Contribute neutrally to emissions reductions.
6.14 Given the scope of the decision, this will not affect climate change considerations in any meaningful way.
7. Next Steps Ngā Mahinga ā-muri
7.1 Depending on the decision, staff will either:
· Install speed signs at the intersection of Antigua and St Asaph to demarcate the transition between the 50 and 30km/h zones.
· Consult with the public on changing Antigua Street & Halkett Street to a 40km/h speed limit.
Attachments Ngā Tāpirihanga
|
No. |
Title |
Reference |
Page |
|
a ⇨ |
Memo - Setting of Speed Limits Rule - Refer Item 19 Attachment A (Under Separate Cover) |
25/1041851 |
|
|
b ⇩ |
Antigua Street Approved Design |
25/1051137 |
334 |
In addition to the attached documents, the following background information is available:
|
Document Name – Location / File Link |
|
Not applicable
|
Signatories Ngā Kaiwaitohu
|
Authors |
Jacob Bradbury - Manager Planning & Delivery Transport Lindsay White - Senior Project Manager Ron Lemm - Manager Legal Service Delivery |
|
Approved By |
Lynette Ellis - Head of Transport & Waste Management Brent Smith - General Manager City Infrastructure |
1. Purpose and Origin of the Report Te Pūtake Pūrongo
1.1 The purpose of this report is to seek approval for an 18-month extension of time for the Heritage Incentive Grant awarded to 527 Colombo Street, New City Hotel. This grant was awarded when the Heritage Incentive Grant scheme was provided for in the 2018-28 and 2021-31 Long Term Plans.
1.2 This report is staff generated in response to a request for an extension of time to an approved Heritage Incentive Grant. The Operational Guidelines require the Council’s approval for extensions of time in the uptake of Heritage Incentive Grants.
2. Officer Recommendations Ngā Tūtohu
That the Council:
1. Receives the information in the Extension of Time for Heritage Incentive Grant to 527 Colombo Street, New City Hotel Report.
2. Notes that the decision in this report is assessed as low significance based on the Christchurch City Council’s Significance and Engagement Policy.
3. Approves an extension of time of eighteen months for the uptake of the $162,376.00 Heritage Incentive Grant previously approved for the building at 527 Colombo Street.
4. Notes that the new completion date for the project will be 28 February 2027.
3. Executive Summary Te Whakarāpopoto Matua
3.1 The building at 527 Colombo Street is known as New City Hotel and is scheduled as a ‘Significant’ item in the Christchurch District Plan. The building is also listed with Heritage New Zealand Pouhere Taonga as a Category 2 item (Registration Number 3124). See Attachment A for the Heritage Statement of Significance.
3.3 On 7 June 2022 the General Manager Infrastructure, Planning & Regulatory Services under Committee delegation approved an extension of time for the grant until 24 March 2024.
3.4 On 7 February 2024 the Council approved an extension of time of eighteen months for the uptake of the Heritage Incentive Grant with a new completion date of 31 August 2025 (CNCL/2024/00007). The works were not undertaken, and the building was sold.
3.5 The current owners took possession of New City Hotel on 31 October 2024. At that time ten months were remaining on the earlier extension of time.
3.6 In the ten months since they took possession, the owners have made a significant financial and time commitment to the restoration of the scheduled building. This includes obtaining a new resource consent and working towards building consent approval. An architect and a Quantity Surveyor have been employed on the project, and it is anticipated that the structural works will begin in January 2026.

New City Hotel, 527 Colombo Street, corner of Bath Street, East and North facades. G. Wright, 22.11.2019

Proposed upgraded exterior of New City Hotel, 527 Colombo Street, corner of Bath Street, East and North facades. Rendering supplied by applicants.
4. Background/Context Te Horopaki
4.1 The ‘Our Heritage, Our Taonga’ Heritage Strategy 2019-2029 was developed in partnership with the six papatipu rūnanga together with the communities of the district. This engagement affirmed a strong community desire to understand, celebrate and protect its heritage and a recognition of the responsibility to future generations to safeguard Ōtautahi Christchurch’s rich and diverse taonga.
4.2 The Heritage Incentive Grant Scheme supports delivery of the overarching strategic principle of “Taking an intergenerational approach to sustainable development, prioritising the social, economic and cultural wellbeing of people and communities and the quality of the environment, now and into the future.” This is because heritage is an intergenerational equity. It contributes to our personal and community sense of identity and belonging and enhances high levels of social connectedness and cohesion.
The Grant
4.3 The current owners of the building are Lisa and John Plato. They are seeking an extension of time to undertake and complete the proposed repair and upgrade project to the New City Hotel.
4.4 On 24 March 2021 the Sustainability and Community Resilience Committee approved a heritage Incentive grant of up to $162,376.00 for roof replacement, repainting of the façade and fire alarm upgrades at 527 Colombo Street, with payment of the grant being subject to a full conservation covenant (SACRC/2021/00015). See Attachment B for the original grant report.
4.5 The original grant recipients requested an extension of time following delays relating to the pandemic. On 7 June 2022 the General Manager Infrastructure, Planning & Regulatory Services (under Committee delegation) approved an extension of time for the grant until 24 March 2024. The works were not undertaken, and the building was sold.
4.6 On 7 February 2024, the Council awarded an additional extension of time for the approved grant, with the new completion date of 31 August 2025 (CNCL/2024/00007).
4.7 The current owners are seeking a further extension of time. The remaining ten-month grant extension which was in place when they took possession of the building will lapse on 31 August 2025.
4.8 Over the past 10 months the owners have been developing a proposal which will ensure a long term, sustainable and economically viable use for the New City Hotel. This will allow them to occupy the whole building as their company’s office.
4.9 The use as offices rather than the previously consented use for hospitality, retail activity and guest accommodation will require alterations, including the removal of the derelict lift and the addition of fire-access stairs to the rear of the building. This proposed office use has involved complex engineering and fire-compliance considerations to be worked through, which has taken time to work through. The resource consent has been approved, and the building consent application is in process.
4.10 The scope of works approved under the grant includes:
· roof replacement
· repairs to and repainting of the façade
· fire alarm upgrades
4.11 These works remain vital elements of the restoration and re-use of the New City Hotel and are necessary to ensure the ongoing retention of the scheduled building. Without the roofing and exterior works, the structure will continue to deteriorate with water ingress, and a working fire system is essential to its long-term protection.
4.12 While the building is empty and unused, it is at ongoing risk of vandalism, fire, and increasing deferred remedial maintenance. Its repair and re-use are now urgent to ensure its retention.
4.13 The owners have invested over $250,000 to date in detailed design and consenting processes. They are hoping to commence the structural works in the next five months.
4.14 The Heritage Incentive grant represents a significant incentive to the owners to undertake this level of investment into one of the central city’s heritage buildings.
4.15 New City Hotel is a landmark for the community on a prominent corner site in the central city. The building is one of only two traditional hotel buildings in the Moderne style remaining in the centre of Christchurch. Having been vacant for so long, the exterior is very degraded and has been subject to vandalism and graffiti. The exterior works supported by this grant will revitalise its façade onto Colombo Street and restore the landmark presence and public views of the building.
4.16 If the extension of time is not approved, the new owners will lose the Heritage Incentive Grant (HIG). The grant scheme has not been renewed in the current LTP and consequently they are not able to apply for a new grant.
4.17 The approved funding has been allocated under the provisions of the former HIG scheme and consequently will not constitute a new cost/unbudgeted cost to Council.
Options Considered Ngā Kōwhiringa Whaiwhakaaro
4.18 The following reasonably practicable options were considered and are assessed in this report:
4.18.1 Approve an additional extension of time for 18 months until 28 February 2027.
4.18.2 Decline the extension of time, allowing the grant to lapse.
Options Descriptions Ngā Kōwhiringa
4.19 Preferred Option: Approve an extension of time.
4.19.1 Option Description: An extension of time for uptake of the grant until 28 February 2027.
4.19.2 Option Advantages:
· Supports the conservation of a landmark corner heritage building in the central city, which has community social, economic and cultural wellbeing outcomes.
· Supports the retention and reuse of a heritage building.
· Aligns with the 2019-2029 Heritage Strategy and is consistent with the Heritage Incentive Grant Fund – Guidelines (2020).
· Incentivises significant investment by the owners into a prominent building which is currently derelict.
· Potentially encourages further investment in the central city by improving the local area and reinvigorating a derelict street corner.
· The grant was previously approved funding from the 2018-28 LTP and so there is no additional cost implication to the Council.
4.19.3 Option Disadvantages
· A carry forward of the previously allocated grant funds is provided for, but the funds will need to be uplifted from the Council.
4.20 4.16.2 Decline the extension of time
4.20.1 Option Description: Decline the extension of time and allow the grant to lapse
4.20.2 Option Advantages
· The allocated funding of $162,376.00 will not be uplifted.
4.20.3 Option Disadvantages
· Without the grant incentive, the applicants may not proceed with the restoration of the building, or the works may be delayed further.
· The current condition of the building and its ongoing deterioration means it is at risk of vandalism or total loss.
· Potential loss of the investment being made by the owners if they are unable to proceed without the grant support.
· A prominent central city street corner may be left undeveloped and remain a public eyesore.
Analysis Criteria Ngā Paearu Wetekina
4.21 Degree to which the purpose of the Heritage Incentive Grant Scheme is achieved.
4.22 Consideration of the Heritage Incentive Grants Policy –Guidelines 2020 ‘Assessment’ criteria.
4.23 Degree to which the projects achieve the pou of the ‘Our Heritage, Our Taonga’ Heritage Strategy 2019-2029: Manaakitanga, Tohungatanga, Kaitiakitanga, Rangatiratanga and Wairuatanga.
4.24 Degree to which the works align with the International Council on Monument and Sites (ICOMOS) New Zealand Charter 2010 (conservation principles).
4.25 Degree to which the outcome will support delivery of the Community Outcomes ‘A collaborative confident city’ and ‘A cultural powerhouse city’.
5. Financial Implications Ngā Hīraunga Rauemi
Capex/Opex Ngā Utu Whakahaere
|
|
Recommended Option |
Option 2 – decline the extension of time |
|
Cost to Implement |
There are no new cost implications in association with the resolutions sought in this report. |
Previously allocated funding will not be uplifted. |
|
Maintenance/Ongoing Costs |
none |
none |
|
Funding Source |
Previously approved funding and carry forward 2021/2031 LTP |
n/a |
|
Funding Availability |
$162,376.00 funding has already been allocated. |
n/a |
|
Impact on Rates |
$0 as the grant has already been approved |
$162,376.00 of allocated funding will not be uplifted. |
5.1 The decision relates to an 18-month delay in the payment of an existing Council assessed and approved grant.
6. Considerations Ngā Whai Whakaaro
Risks and Mitigations Ngā Mōrearea me ngā Whakamātautau
6.1 The grant scheme only allows funds to be paid out upon completion of the works; certification by Council staff that the works have been undertaken in alignment with the ICOMOS NZ Charter 2010; presentation of receipts and confirmation of the conservation covenant (if required) having been registered against the property title or on the Personal Properties Securities Register. This ensures that the grant scheme is effective and that funds are not diverted or lost.
6.2 There is the risk of loss of a significant heritage place and central city corner landmark if the funding timeframe is not extended to support the restoration project.
Legal Considerations Ngā Hīraunga ā-Ture
6.3 Statutory and/or delegated authority to undertake proposals in the report:
6.3.1 The delegated authority for Heritage Incentive Grants decisions was with the Sustainability and Community Resilience Committee but as this committee is no longer sitting, this report is being submitted to the Council.
6.3.2 On the 1 June 2022, the Sustainability and Community Resilience Committee (SACR) delegated one extension of time for both Heritage Incentive Grants and Central City Landmark Heritage Grants to the General Manager Infrastructure, Planning & Regulatory Services, with additional extensions of time requiring Committee approval (SACRC/2022/00025).
6.4 Other Legal Implications:
6.4.1 There is no legal context, issue, or implication relevant to this decision.
Strategy and Policy Considerations Te Whai Kaupapa here
6.5 The required decision:
6.5.1 Aligns with the Christchurch City Council’s Strategic Framework. An extension of time for this Heritage Incentive Grant will support the Community Outcomes- A collaborative confident city: “We have a sense of belonging and identity: We support and help build connections between communities and their places and spaces to foster a sense of local identity, shared experience, and stewardship”, and A cultural powerhouse city: “Our heritage is accessible to all, shared and celebrated and includes and respects all the cultures and distinct communities of the district”.
6.5.2 Is assessed as low significance based on the Christchurch City Council’s Significance and Engagement Policy. The level of significance is determined by the heritage significance of the item, the cultural and community wellbeing outcomes of the project, and the fact that the Council has already assessed and approved the grant for these works. There are no engagement requirements in the Heritage Incentive Grant Fund – Guidelines 2020 for this grant scheme.
6.5.3 Is consistent with the ‘Our Heritage, Our Taonga’ Heritage Strategy 2019-2029.
6.6 The grant was awarded in 2021 from funding allocated in the Council's Long Term Plan (2021 - 2031).
Community Impacts and Views Ngā Mariu ā-Hāpori
6.7 The ‘Our Heritage, Our Taonga’ Heritage Strategy 2019-2029 was developed in partnership with the six papatipu rūnanga together with the communities of the district. This engagement affirmed a strong community desire to understand, celebrate and protect its heritage and a recognition of the responsibility to future generations to safeguard Ōtautahi Christchurch’s rich and diverse taonga.
6.8 The decision affects the following wards/Community Board areas:
6.8.1 Waipapa Papanui-Innes-Central Community
6.9 It is noted that Tūāhuriri Rūnanga hold mana whenua rights and interests in the area.
Impact on Mana Whenua Ngā Whai Take Mana Whenua
6.10 The decision does not involve a significant decision in relation to ancestral land or a body of water or other elements of intrinsic value.
6.11 The decision involves a matter of interest to Mana Whenua insofar that the six papatipu rūnanga are partners in the Our Heritage, Our Taonga - Heritage Strategy 2019-2029.
Climate Change Impact Considerations Ngā Whai Whakaaro mā te Āhuarangi
6.12 The decisions in this report are likely to:
6.12.1 Contribute positively to adaptation to the impacts of climate change.
6.12.2 Contribute positively to emissions reductions.
6.13 The grant will support the retention and reuse of a heritage building. Retention and reuse of existing built stock reduces our carbon footprint and extends the economic life of buildings.
7. Next Steps Ngā Mahinga ā-muri
7.1 Notify the applicant of the Council’s decision.
7.2 If approval is granted for the extension of time, inform the owner of the updated grant timeframes.
Attachments Ngā Tāpirihanga
|
No. |
Title |
Reference |
Page |
|
a ⇩ |
Attachment A Heritage Statement of Significance for New City Hotel |
25/1436160 |
343 |
|
b ⇩ |
Attachment B Heritage Incentive Grant Report for New City Hotel, 24 March 2012 |
25/1436162 |
347 |
In addition to the attached documents, the following background information is available:
|
Document Name – Location / File Link |
|
Not applicable
|
Signatories Ngā Kaiwaitohu
|
Author |
Victoria Bliss - Heritage Conservation Projects Planner |
|
Approved By |
Brendan Smyth - Team Leader Heritage Mark Stevenson - Head of Planning & Consents John Higgins - General Manager Strategy, Planning & Regulatory Services |
1. Purpose and Origin of the Report Te Pūtake Pūrongo
1.1 The purpose of this report to seek approval of the draft Council submission on the Going for Housing Growth proposals.
1.2 The Government is seeking feedback on the Going for Housing Growth proposals to help inform and shape the policy direction in the new resource management system.
1.3 Staff presented an initial draft Council submission to the Mayor and Councillors following the Council Information Session on Tuesday, 22 July 2025. Staff have now revised the Council submission following feedback from Councillors.
2. Officer Recommendations Ngā Tūtohu
That the Council:
1. Receives the information in the Council submission on Going for Housing Growth proposals Report.
2. Notes that the decision in this report is assessed as low significance based on the Christchurch City Council’s Significance and Engagement Policy.
3. Approves lodging the Council submission on the Going for Housing Growth proposals (Attachment A and Attachment B to this report) to the Ministry of Housing and Urban Development.
4. Delegates to the Head of Planning and Consents any correction, or amendments of a minor nature arising from the Council meeting.
3. Executive Summary Te Whakarāpopoto Matua
3.1 The Government is inviting submissions on the ‘Pillar 1’ Going for Housing Growth proposals. This is to help inform the direction and development of the new resource management system.
3.2 The draft Council submission was circulated to Councillors for feedback following the Council Information Session on Tuesday, 22 July 2025. Staff have revised this submission based on feedback from Councillors.
3.3 The draft Council submission is attached for Councillors’ consideration and approval (see Attachment A and Attachment B).
3.4 Subject to approval, the draft submission will be lodged with the Ministry of Housing and Urban Development on or before Friday, 15 August 2025.
4. Background/Context Te Horopaki
4.1 The proposed draft submission comprises a cover letter and detailed technical appendix to respond to the Going for Housing Growth discussion document questions.
4.2 Overall, the submission acknowledges that there are components of the Going for Housing Growth package that will provide appropriate mechanisms for managing growth and delivering well-functioning urban environments envisioned by the Council. The submission is supportive of specific proposals.
4.3 These include proposals such as changes to spatial planning requirements, the enablement of development around transport corridors and the integration between land use planning and infrastructure planning and investment.
4.4 The submission highlights the need for growth to be managed strategically to limit the risk of uncosted and ad hoc growth. It raises concerns with the financial costs that may arise from enabling ‘out of sequence’ development and unplanned growth, and the importance of minimising any additional financial burdens being placed on councils – particularly regarding infrastructure planning and investment.
4.5 Council Officers also note that they have not been able to consider how the proposed NPS-UD changes and Going for Housing Growth proposals will interact with the Planning Bill and other national direction instruments – which has provided a limitation to the submission.
4.6 The following related memos/information were circulated to the meeting members:
|
Date |
Subject |
|
22 July 2025 |
Draft Council submission on Going for Housing Growth proposals circulated to Councillors for their feedback |
4.7 The following related information session/workshops have taken place for the members of the meeting:
|
Date |
Subject |
|
22 July 2025 |
Information session on the draft Council submission on Going for Housing Growth proposals |
Options Considered Ngā Kōwhiringa Whaiwhakaaro
4.8 The only reasonably practicable option considered and assessed in this report is that the Council prepares a submission on the proposed changes to the Ministry of Housing and Urban Development.
4.9 The Council regularly makes submissions on proposals which may significantly impact Christchurch residents or Council business. Submissions are an important opportunity to influence thinking and decisions through external agencies’ consultation processes.
4.10 The consultation on the Going for Housing Growth proposals is intended to help inform and shape the direction of the new resource management system, which will ultimately result in a shift in planning legislation. It is therefore important that through a submission, the Council can seek to influence the direction of the proposals early to ensure that any changes are fit for purpose for local authorities and the residents we serve.
4.11 The alternative option would be to not submit on the Going for Housing Growth proposals. This course of action is not recommended in this case as making a submission is a valuable opportunity to influence the thinking of the proposals.
5. Financial Implications Ngā Hīraunga Rauemi
Capex/Opex Ngā Utu Whakahaere
|
|
Recommended Option |
Option 2 – Not to submit on Going for Housing Growth proposals |
|
Cost to Implement |
Met from existing operational budgets. |
No cost |
|
Maintenance/Ongoing Costs |
As above |
No cost |
|
Funding Source |
Existing operational budgets |
No cost |
|
Funding Availability |
Available |
N/A |
|
Impact on Rates |
No impact on rates as met from existing operational budgets |
N/A |
6. Considerations Ngā Whai Whakaaro
Risks and Mitigations Ngā Mōrearea me ngā Whakamātautau
6.1 The decision to lodge a Council submission is of low risk.
Legal Considerations Ngā Hīraunga ā-Ture
6.2 Statutory authority to undertake proposals in the report:
6.2.1 The opportunity to lodge a submission on the Going for Housing Growth proposals is open to any person or organisation.
6.3 Other Legal Implications:
6.3.1 There is no legal context, issue, or implication relevant to this decision. The Legal Services team have provided input to and reviewed the submission.
Strategy and Policy Considerations Te Whai Kaupapa here
6.4 The required decision:
6.4.1 Aligns with the Christchurch City Council’s Strategic Framework.
6.4.2 Is assessed as low significance based on the Christchurch City Council’s Significance and Engagement Policy. This recognises that while there may be community interest in the proposed direction, the specific decision (to approve the draft submission) is of a lower level of significance.
6.4.3 Is consistent with the Council’s Plans and Policies.
6.5 This report supports the Council's Long Term Plan (2024 - 2034):
6.6 Strategic Planning and Policy
6.6.1 Activity: Strategic Policy and Resilience
· Level of Service: 17.0.1.1 Advice meets emerging needs and statutory requirements and is aligned with governance expectations in the Strategic Framework.
Impact on Mana Whenua Ngā Whai Take Mana Whenua
6.7 The decision to lodge a Council submission on the Going for Housing Growth proposals is not a significant decision in relation to ancestral land or a body of water or other elements of intrinsic value, therefore this decision does not specifically impact Mana Whenua, their culture and traditions.
6.8 The decision involves a matter of interest to Mana Whenua, however the decision to submit on the Going for Housing Growth proposals will not impact on our agreed partnership priorities with Ngā Papatipu Rūnanga.
Climate Change Impact Considerations Ngā Whai Whakaaro mā te Āhuarangi
6.9 The decision to lodge a Council submission does not have any direct climate change impacts.
7. Next Steps Ngā Mahinga ā-muri
7.1 Subject to approval, the draft submission (Attachment A and Attachment B) on the Going for Housing Growth proposals will be lodged with the Ministry of Housing and Urban Development on or before Friday, 15 August 2025.
Attachments Ngā Tāpirihanga
|
No. |
Title |
Reference |
Page |
|
a ⇩ |
Draft CCC Submission - Going for Housing Growth |
25/1502375 |
359 |
|
b ⇩ |
Appendix 1 - Draft Detailed CCC Submission on Going for Housing Growth |
25/1502428 |
364 |
In addition to the attached documents, the following background information is available:
|
Document Name – Location / File Link |
|
Not applicable
|
Signatories Ngā Kaiwaitohu
|
Authors |
Ruohan Zhao - Senior Policy Analyst Helaina Gregg - Principal Advisor Policy |
|
Approved By |
Mark Stevenson - Head of Planning & Consents John Higgins - General Manager Strategy, Planning & Regulatory Services |
Section 48, Local Government Official Information and Meetings Act 1987.
Note: The grounds for exclusion are summarised in the following table. The full wording from the Act can be found in section 6 or section 7, depending on the context.
I move that the public be excluded from the following parts of the proceedings of this meeting, namely the items listed overleaf.
Reason for passing this resolution: a good reason to withhold exists under section 7.
Specific grounds under section 48(1) for the passing of this resolution: Section 48(1)(a)
Note
Section 48(4) of the Local Government Official Information and Meetings Act 1987 provides as follows:
“(4) Every resolution to exclude the public shall be put at a time when the meeting is open to the public, and the text of that resolution (or copies thereof):
(a) Shall be available to any member of the public who is present; and
(b) Shall form part of the minutes of the local authority.”
This resolution is made in reliance on Section 48(1)(a) of the Local Government Official Information and Meetings Act 1987 and the particular interest or interests protected by Section 6 or Section 7 of that Act which would be prejudiced by the holding of the whole or relevant part of the proceedings of the meeting in public are as follows:
|
GENERAL SUBJECT OF EACH MATTER TO BE CONSIDERED |
SECTION |
SUBCLAUSE AND REASON UNDER THE ACT |
PUBLIC INTEREST CONSIDERATION |
Potential Release Review Date and Conditions |
|
|
16. |
Development Contributions Remission Application - The Arts Centre |
|
|
|
|
|
|
Attachment a - Arts Centre Food Vendor licence fees. |
s7(2)(b)(ii) |
Prejudice Commercial Position |
The information is commercially sensitive and could impact on the Arts Centre ability to negotiate contracts in the future. This outweighs the public interest. |
6 August 2026 Upon review and approval of the Head of Planning and Consents. |
|
17. |
151/153 Gilberthorpes Road - Future Use Issues and Options |
|
|
|
|
|
|
Attachment e - Property Purchase Context |
s7(2)(b)(ii), s7(2)(i) |
Prejudice Commercial Position, Conduct Negotiations |
The Council needs to consider the preliminary financial details relevant to the possible purchase of the property by the Purapura Whetu Trust. These details are currently confidential, release of which would prejudice subsequent negotiations. |
15 December 2025 As and when an unconditional Agreement is entered into by Council and the Purapura Whetu Trust. |
|
18. |
Proposed Locky Dock cycle parking and charging station in Rauora Park, Lichfield St |
|
|
|
|
|
|
Attachment c - Locky Docks Licence to Occupy, 20.12.2024 |
s7(2)(h), s7(2)(i) |
Commercial Activities, Conduct Negotiations |
This information is commercially sensitive and could impact the Big Street Bikers' ability to conduct negotiations with other parties in the open market, which outweighs the public interest. |
10 July 2026 Upon review and approval of the Head of Transport. |
|
25. |
Public Excluded Health, Safety and Wellbeing Committee Minutes - 27 June 2025 |
|
|
Refer to the previous public excluded reason in the agendas for these meetings. |
|
|
26. |
Public Excluded Civic Awards Committee Minutes - 14 July 2025 |
|
|
Refer to the previous public excluded reason in the agendas for these meetings. |
|
|
27. |
Public Excluded Council Minutes - 11 June 2025 |
|
|
Refer to the previous public excluded reason in the agendas for these meetings. |
|
|
28. |
Public Excluded Council Minutes - 16 July 2025 |
|
|
Refer to the previous public excluded reason in the agendas for these meetings. |
|
|
29. |
Christchurch Civic Awards 2025 |
s7(2)(a) |
Protection of Privacy of Natural Persons |
Protection of privacy of individuals outweighs public interest in this item. |
19 June 2026 Report can be released, with appropriate redactions, once successful nominees have been publicly notified. |
|
30. |
Audit and Risk Management Committee - Reappointment of an External Committee Member |
s7(2)(a) |
Protection of Privacy of Natural Persons |
The public interest in this appointment is OUTWEIGHED by the need to protect the candidate's reputation. |
7 August 2025 Following the conclusion of the independent member appointment process. |
Karakia Whakamutunga
Kia whakairia te tapu
Kia wātea ai te ara
Kia turuki whakataha ai
Kia turuki whakataha ai
Haumi e. Hui e. Tāiki e
Actions Register Ngā Mahinga
When decisions are made at meetings, these are assigned to staff as actions to implement. The following lists detail any actions from this meeting that were:
· Open at the time the agenda was generated.
· Closed since the last ordinary meeting agenda was generated.
Open Actions Ngā Mahinga Tuwhera
|
REPORT TITLE/AGENDA SECTION |
MEETING DATE |
ACTION DUE DATE |
UNIT |
TEAM |
|
Annual Plan 2025/26 |
24 June 2025 |
8 July 2025 |
Transport & Waste |
Management |
|
Canterbury Museum Draft 2025/26 Annual Plan Request |
16 April 2025 |
16 July 2025 |
Communications & Engagement |
Engagement |
|
Annual Plan 2025/26 |
24 June 2025 |
31 July 2025 |
Corporate Planning & Performance |
Corporate Planning & Performance |
|
Annual Plan 2025/26 |
24 June 2025 |
31 July 2025 |
Transport & Waste |
Management |
|
Notice of Motion - Micromobility parking |
7 May 2025 |
6 August 2025 |
Transport & Waste |
Asset Planning |
|
Community (Social) Housing Update Report |
19 March 2025 |
20 August 2025 |
Facilities & Property Unit |
Management |
|
Access along the Heathcote Expressway MCR (past Scruttons Road level crossing) |
6 November 2024 |
22 August 2025 |
Transport & Waste |
Management |
|
Grant an Easement for Utilities Over a Council Reserve |
10 April 2024 |
24 August 2025 |
Facilities & Property Unit |
Property Consultancy |
|
Beach Hospitality Limited - Landlord Consent to Improvements and Request for Further Lease |
2 April 2025 |
29 August 2025 |
Facilities & Property Unit |
Property Consultancy |
|
Schedule 2 |
14 February 2024 |
29 August 2025 |
Planning & Consents |
Management |
|
Ōtautahi Christchurch Future Transport |
19 March 2025 |
30 August 2025 |
Transport & Waste |
Asset Planning |
|
Schedule 1 |
14 February 2024 |
30 August 2025 |
Parks |
Asset Management |
|
Surveillance systems across arterial routes |
12 February 2025 |
30 August 2025 |
Transport & Waste |
Traffic Operations |
|
Three Waters Activities - March, April, May, and June 2023 |
6 September 2023 |
31 August 2025 |
Three Waters |
Service Excellence |
|
Lichfield St Carpark Building - Future Strategy |
4 June 2025 |
3 September 2025 |
Facilities & Property Unit |
Management |
|
The Christchurch Foundation Tranche Two Drawdown from the Capital Endowment Fund |
4 June 2025 |
3 September 2025 |
Community Support & Partnerships |
Partnerships & Planning |
|
Annual Plan 2025/26 |
24 June 2025 |
10 September 2025 |
Strategic Policy & Resilience |
Policy Team |
|
Huanui Lane between Gloucester Street and Armagh Street-Traffic Control Changes |
11 December 2024 |
12 September 2025 |
Transport & Waste |
Asset Planning |
|
Discretionary Response Fund Report - Ara Taiohi Incorporated |
18 June 2025 |
17 September 2025 |
Community Support & Partnerships |
Partnerships & Planning |
|
Moorhouse Avenue - Pedestrian Improvements |
18 June 2025 |
17 September 2025 |
Transport & Waste |
Asset Planning |
|
Moorhouse Avenue - Pedestrian Improvements |
18 June 2025 |
17 September 2025 |
Transport & Waste |
Traffic Operations |
|
Setting of Speed Limits - Speed limits around schools |
18 June 2025 |
17 September 2025 |
Transport & Waste |
Traffic Operations |
|
Tsunami Alerting System Review |
18 June 2025 |
17 September 2025 |
Community Support & Partnerships |
CDEM |
|
Annual Plan 2025/26 |
24 June 2025 |
23 September 2025 |
Community Support & Partnerships |
CDEM |
|
Annual Plan 2025/26 |
24 June 2025 |
23 September 2025 |
Community Support & Partnerships |
Governance (Ban Pen) |
|
Annual Plan 2025/26 |
24 June 2025 |
23 September 2025 |
Corporate Planning & Performance |
Corporate Planning & Performance |
|
Annual Plan 2025/26 |
24 June 2025 |
23 September 2025 |
Corporate Services Management |
Corporate Services Management |
|
Annual Plan 2025/26 |
24 June 2025 |
23 September 2025 |
Facilities & Property Unit |
Management |
|
Annual Plan 2025/26 |
24 June 2025 |
23 September 2025 |
Finance Risk & Performance Management |
Finance Risk & Performance Management |
|
Annual Plan 2025/26 |
24 June 2025 |
23 September 2025 |
Parks |
Community Parks |
|
Annual Plan 2025/26 |
24 June 2025 |
23 September 2025 |
Parks |
Management |
|
Annual Plan 2025/26 |
24 June 2025 |
23 September 2025 |
Parks |
Parks & Recreation Planning |
|
Annual Plan 2025/26 |
24 June 2025 |
23 September 2025 |
Parks |
Residential Red Zone |
|
Annual Plan 2025/26 |
24 June 2025 |
23 September 2025 |
Planning & Consents |
Management |
|
Annual Plan 2025/26 |
24 June 2025 |
23 September 2025 |
Programme Management Office |
Programme Management Office |
|
Annual Plan 2025/26 |
24 June 2025 |
23 September 2025 |
Strategic Policy & Resilience |
Management |
|
Annual Plan 2025/26 |
24 June 2025 |
23 September 2025 |
Three Waters |
Management |
|
Annual Plan 2025/26 |
24 June 2025 |
23 September 2025 |
Transport & Waste |
Management |
|
Annual Plan 2025/26 |
24 June 2025 |
23 September 2025 |
Transport & Waste |
Traffic Operations |
|
(H-H-R) Templeton Cemetery and Sports Park Development Plan - Preparation |
12 September 2019 |
30 September 2025 |
Parks |
Planning & Policy |
|
Yaldhurst Memorial Hall |
25 June 2024 |
30 September 2025 |
Facilities & Property Unit |
Property Consultancy |
|
New Brighton CRAF - Marine Parade (Hawke to Bowhill) Street Renewal - Scheme Adjustments and Detailed Traffic Resolutions |
2 July 2025 |
1 October 2025 |
Transport & Waste |
Project Management |
|
Ōtākaro Avon River Corridor Proposed Governance Model |
19 February 2025 |
1 October 2025 |
Citizens & Community Management |
Citizens & Community Management |
|
Procurement Policy 2025 |
2 July 2025 |
1 October 2025 |
Procurement & Contracts |
Management |
|
Stop Road (airspace) and Dispose of to Adjoining Landowners |
5 June 2024 |
2 October 2025 |
Facilities & Property Unit |
Property Consultancy |
|
66E Hills Rd - Sale of Land |
16 July 2025 |
15 October 2025 |
Facilities & Property Unit |
Property Consultancy |
|
Confirmation of Dates for Adoption of the Local Alcohol Policy (LAP) |
16 July 2025 |
15 October 2025 |
Strategic Policy & Resilience |
Policy Team |
|
Decision in-part on Plan Change 14 - Only 265 Riccarton Road and 9 Daresbury Lane |
16 July 2025 |
15 October 2025 |
Planning & Consents |
City Planning |
|
Decision in-part on Plan Change 14 - Only 265 Riccarton Road and 9 Daresbury Lane |
16 July 2025 |
15 October 2025 |
Planning & Consents |
Management |
|
Notice of Motion - Feasibility of free overnight parking at Parakiore Recreation and Sport Centre |
16 July 2025 |
15 October 2025 |
Recreation, Sports & Events |
Management |
|
Unsolicited Proposal for sale of 1 Kinsey Terrace |
16 July 2025 |
15 October 2025 |
Facilities & Property Unit |
Property Consultancy |
|
Climate Change Portfolio Lead Report |
3 July 2024 |
31 October 2025 |
Strategic Policy & Resilience |
Management |
|
Stop Road (airspace) and Dispose of to Adjoining Landowners |
21 August 2024 |
31 October 2025 |
Facilities & Property Unit |
Property Consultancy |
|
Annual Plan 2025/26 |
24 June 2025 |
28 November 2025 |
Finance |
Management |
|
Transport speed bumps budget |
12 February 2025 |
29 November 2025 |
Transport & Waste |
Management |
|
Acquisition of Deeds Land Along with Road Stopping and Amalgamation - Corner Harmans and Voelas Roads Lyttelton |
5 February 2025 |
30 November 2025 |
Facilities & Property Unit |
Property Consultancy |
|
Canterbury Museum Draft 2025/26 Annual Plan Request |
16 April 2025 |
10 December 2025 |
Community Support & Partnerships |
Management Team |
|
Installation of Public Artwork - "The Godwits" |
25 July 2019 |
15 December 2025 |
Parks |
Asset Management |
|
27 Hunters Road & 43 Whero Avenue, Diamond Harbour – FENZ and Te Pā o Rākaihautū Unsolicited Proposals |
5 June 2024 |
31 December 2025 |
Facilities & Property Unit |
Property Consultancy |
|
27 Hunters Road and 42 Whero Avenue Consultation Outcome |
9 June 2022 |
31 December 2025 |
Planning & Consents |
Management |
|
Infrastructure Amendments - Parks |
25 June 2024 |
31 December 2025 |
Parks |
Parks & Recreation Planning |
|
Koukourarata Port Levy - Bach on Public Land ( Road Reserve) |
16 April 2025 |
31 December 2025 |
Facilities & Property Unit |
Property Consultancy |
|
Lincoln Road (Wrights to Curletts) Project - Metropolitan Significance and Property Purchase |
13 August 2020 |
31 December 2025 |
Facilities & Property Unit |
Property Consultancy |
|
Notice of Motion - Fly Tipping Volunteer Removal Options |
19 February 2025 |
31 December 2025 |
Transport & Waste |
Resource Recovery |
|
Ōtākaro Avon River Corridor Proposed Governance Model |
19 February 2025 |
31 December 2025 |
Citizens & Community Management |
Citizens & Community Management |
|
Schedule 2 |
14 February 2024 |
31 December 2025 |
Citizens & Community Management |
Citizens & Community Management |
|
Annual Plan 2025/26 |
24 June 2025 |
2 February 2026 |
Communications & Engagement |
Engagement |
|
Annual Plan 2025/26 |
24 June 2025 |
2 February 2026 |
Community Support & Partnerships |
Management Team |
|
Annual Plan 2025/26 |
24 June 2025 |
2 February 2026 |
Community Support & Partnerships |
Partnerships & Planning |
|
Annual Plan 2025/26 |
24 June 2025 |
2 February 2026 |
Recreation, Sports & Events |
Management |
|
Annual Plan 2025/26 |
24 June 2025 |
28 February 2026 |
Facilities & Property Unit |
Property Consultancy |
|
Orana Park |
25 June 2024 |
31 March 2026 |
Community Support & Partnerships |
Partnerships & Planning |
|
Councillors' proposed amendments - Infrastructure and Regulation |
14 February 2024 |
1 April 2026 |
Three Waters |
Asset Planning Stormwater & Waterways |
|
Capital Grant - Te Uaka/Lyttelton Museum |
12 February 2025 |
1 May 2026 |
Community Support & Partnerships |
Management Team |
|
Hearings Panel report on the Gloucester Street "Streets for People" Trial |
2 October 2024 |
15 May 2026 |
Transport & Waste |
Project Management |
|
Ōtākaro-Avon Stormwater Management Plan |
19 June 2024 |
29 May 2026 |
Three Waters |
Asset Planning Stormwater & Waterways |
|
Acquisition of Land 657 Pages Road Christchurch, Pages Road Bridge Renewal Project |
5 March 2025 |
4 June 2026 |
Facilities & Property Unit |
Property Consultancy |
|
Other Amendments - Planning, Property and Miscellaneous |
25 June 2024 |
30 June 2026 |
Facilities & Property Unit |
Management |
|
Southshore South New Brighton Earthquake Legacy Project |
29 August 2019 |
30 June 2026 |
Three Waters |
Asset Planning Stormwater & Waterways |
|
Report Requests |
25 June 2024 |
31 October 2026 |
Transport & Waste |
Asset Planning |
|
Arts Centre |
25 June 2024 |
31 March 2027 |
Community Support & Partnerships |
Partnerships & Planning |
|
Hearings Panel Report on Lincoln Road Peak Hour Bus Lane Proposal |
7 July 2022 |
1 June 2027 |
Transport & Waste |
Project Management |
Actions Closed Since the Last Meeting Ngā Mahinga kua Tutuki nō Tērā Hui
|
REPORT TITLE/AGENDA SECTION |
MEETING DATE |
DUE DATE |
ACTION CLOSURE DATE |
UNIT |
TEAM |
|
Art by the River Commission - Brett Graham, Erratic |
1 March 2023 |
27 July 2025 |
2 July 2025 |
Parks |
Asset Management |
|
Report Requests |
25 June 2024 |
10 September 2025 |
4 July 2025 |
Community Support & Partnerships |
Community Planning & Projects |
|
Application to the 2024/25 Capital Endowment Fund - Youth Hub Trust |
18 September 2024 |
31 March 2026 |
2 July 2025 |
Community Support & Partnerships |
Partnerships & Planning |
|
3 Bantry Lodge Road, Wainui - Revoke Reserve Status and Sale of Land |
5 February 2025 |
31 August 2025 |
10 July 2025 |
Facilities & Property Unit |
Property Consultancy |
|
Eastern Orbital link |
12 February 2025 |
14 May 2025 |
11 July 2025 |
Transport & Waste |
Management |
|
Petition - Ban on Freedom Camping in the North Beach Foreshore Car Park |
2 April 2025 |
2 July 2025 |
1 July 2025 |
Strategy, Planning and Regulatory Services Management |
Strategy, Planning and Regulatory Services Management |
|
Old Municipal Chambers - Sublease Approval Process |
16 April 2025 |
16 July 2025 |
8 July 2025 |
Facilities & Property Unit |
Property Consultancy |
|
Citywide Discretionary Response Fund Applications May 2025 |
7 May 2025 |
6 August 2025 |
2 July 2025 |
Finance |
Management |
|
Hearings Panel report to the Council on the Proposed Parks and Reserves Bylaw 2025 |
4 June 2025 |
3 September 2025 |
1 July 2025 |
Strategic Policy & Resilience |
Policy Team |
|
Draft Local Alcohol Policy |
11 June 2025 |
10 September 2025 |
22 July 2025 |
Strategic Policy & Resilience |
Policy Team |
|
Annual Plan 2025/26 |
24 June 2025 |
21 July 2025 |
2 July 2025 |
Community Support & Partnerships |
Partnerships & Planning |
|
Annual Plan 2025/26 |
24 June 2025 |
20 August 2025 |
22 July 2025 |
Community Support & Partnerships |
Community Planning & Projects |
|
Annual Plan 2025/26 |
24 June 2025 |
23 September 2025 |
9 July 2025 |
Facilities & Property Unit |
Property Consultancy |
|
Annual Plan 2025/26 |
24 June 2025 |
23 September 2025 |
22 July 2025 |
Strategic Policy & Resilience |
Coastal Hazards |
|
Annual Plan 2025/26 |
24 June 2025 |
23 September 2025 |
25 July 2025 |
Finance |
Corporate Reporting |
|
Annual Plan 2025/26 |
24 June 2025 |
23 September 2025 |
31 July 2025 |
Parks |
Community Parks |
|
Annual Plan 2025/26 |
24 June 2025 |
28 February 2026 |
10 July 2025 |
Facilities & Property Unit |
Property Consultancy |
|
Development Contributions Policy 2025 |
24 June 2025 |
23 September 2025 |
2 July 2025 |
Strategic Policy & Resilience |
Policy Team |
|
66E Hills Rd - Sale of Land |
16 July 2025 |
15 October 2025 |
22 July 2025 |
Facilities & Property Unit |
Property Consultancy |
|
Te Pātaka o Rākaihautū - Banks Peninsula Settlements Stormwater Management Plan |
16 July 2025 |
15 October 2025 |
22 July 2025 |
Three Waters |
Asset Planning Stormwater & Waterways |
|
Unsolicited Proposal for sale of 1 Kinsey Terrace |
16 July 2025 |
15 October 2025 |
22 July 2025 |
Facilities & Property Unit |
Property Consultancy |
[1] The Act formally recognises the Arts Centre as a cultural asset and vests ownership of the property in a Trust on behalf of the citizens of Christchurch. The Act outlines the objects of the Trust, its powers, and governance structure, ensuring the preservation and promotion of the Arts Centre as a unique cultural and educational hub
[2] https://ccc.govt.nz/assets/Documents/The-Council/Plans-Strategies-Policies-Bylaws/Policies/Development-contributions/Development-Contributions-Policy-2021.pdf