
Christchurch City Council
Attachments - Under Separate Cover
Date: Wednesday 17 September 2025
Time: 9.30 am
Venue: Camellia Chambers, Level 2, Civic Offices, 53 Hereford Street
TABLE OF CONTENTS NGĀ IHIRANGI PAGE
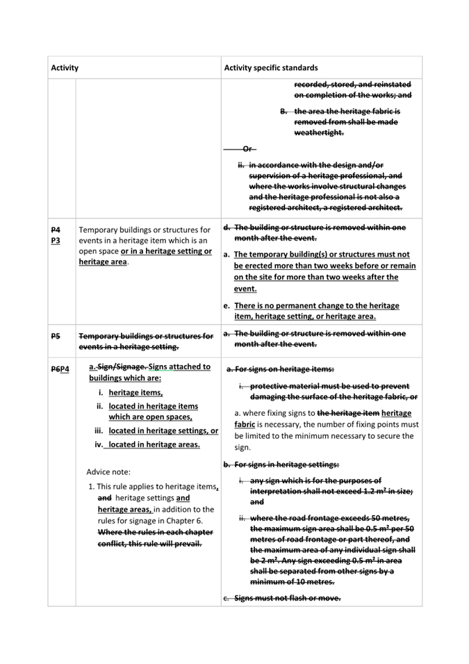
9. Decision on Plan Change 13 - Heritage
a. Plan Change 13 - Hearing Panel's Report and Recommendations.......................................... 3
11. Amendments to the Register of Delegations
a. Attachment A: relevant sub-parts of Parts A, B and D of the delegations register showing the proposed amendments for Council meeting 17 September 2025....................................... 334