A black text on a white background

AI-generated content may be incorrect.

 

 

Canterbury Regional Landfill Joint Committee

Supplementary Agenda

 

 

Notice of Meeting Te Pānui o te Hui:

A meeting of the Canterbury Regional Landfill Joint Committee will be held on:

 

Date:                                    Monday 7 April 2025

Time:                                   12 pm

Venue:                                 Committee Room 2, Level 2, Civic Offices,
53 Hereford Street, Christchurch

 

 

Membership Ngā Mema

Chairperson

Deputy

Members

Councillor Mark Peters - Christchurch City Council          

Councillor Robbie Brine - Waimakariri District Council   

Councillor Kelly Barber - Christchurch City Council          

Councillor James Gough - Christchurch City Council       

Councillor David Hislop - Hurunui District Council

Councillor Liz McMillan - Ashburton District Council        

Councillor Grant Miller - Selwyn District Council   

 

 

4 April 2025

 

 

Principal Advisor

Brent Smith

General Manager City Infrastructure

Tel: 941 8645

brent.smith@ccc.govt.nz

Meeting Advisor

Natasha McDonnell

Democratic Services Advisor

Tel: 941 5112

natasha.mcdonnell@ccc.govt.nz

 

 

Website: www.ccc.govt.nz

Note:  The reports contained within this agenda are for consideration and should not be construed as Council policy unless and until adopted.  If you require further information relating to any reports, please contact the person named on the report.
To view copies of Agendas and Minutes, visit:
https://www.ccc.govt.nz/the-council/meetings-agendas-and-minutes/

 


 


TABLE OF CONTENTS NGĀ IHIRANGI

 8.       Resolution to Include Supplementary Reports Te Whakataunga Whakauru Pūrongo āpiti         4

9.        Amendments to Transwaste Canterbury Limited Constitution and Shareholders Agreement....................................................................................................... 5


8. Resolution to Include Supplementary Reports Te Whakataunga Whakauru Pūrongo āpiti

1.       Background Te Horopaki

1.1          Approval is sought to submit the following report to the Canterbury Regional Landfill Joint Committee meeting on 07 April 2025:

9.      Amendments to Transwaste Canterbury Limited Constitution and Shareholders Agreement.

1.2          The reason, in terms of section 46A(7) of the Local Government Official Information and Meetings Act 1987, why the report was not included on the main agenda is that it was not available at the time the agenda was prepared.

1.3          It is appropriate that the Canterbury Regional Landfill Joint Committee receive the report at the current meeting.

2.       Recommendation Te Tūtohu

2.1          That the report be received and considered at the Canterbury Regional Landfill Joint Committee meeting on 07 April 2025.

9.      Amendments to Transwaste Canterbury Limited Constitution and Shareholders Agreement.

 

 


9.     Amendments to Transwaste Canterbury Limited Constitution and Shareholders Agreement

Reference Te Tohutoro:

25/596198

Responsible Officer(s) Te Pou Matua:

Natasha McDonnell, Democratic Services Advisor

Accountable ELT Member Pouwhakarae:

Brent Smith, General Manager City Infrastructure

 

 

1.   Purpose and Origin of the Report Te Pūtake Pūrongo

1.1       The purpose of this report is for the Canterbury Regional Landfill Joint Committee to receive and consider resolutions arising from the completion of the Transwaste Canterbury Limited Governance review.

2.   Officer Recommendations Ngā Tūtohu

That the Canterbury Regional Landfill Joint Committee:

1.         Receives the information in the Amendments to Transwaste Canterbury Limited Constitution and Shareholders Agreement Report.

2.         Adopts the amended Transwaste Canterbury Limited Constitution and Transwaste Canterbury Limited Shareholders Agreement.

3.         Alongside Waste Management New Zealand, jointly appoints Grant Miller as independent chair of Transwaste Canterbury Limited, effective upon the date in which Transwaste Canterbury Limited reaches shareholder endorsement in entirety. 

4.         Delays the appointment of the vacant Transwaste Canterbury Limited directorship until after the 2025 Local Government Elections.

 

 

3.   Detail Te Whakamahuki

Background

3.1       The Board of Transwaste Canterbury Limited (TCL) engaged BDO – Phillip Roth, to undertake a comprehensive governance review of the structure and effectiveness of TCL.

3.2       The Governance review team has previously provided a report to the Canterbury Regional Landfill Joint Committee (CRLJC) on its findings, and next steps being to review the Constitution and Shareholders Agreement and undertake a recruitment process for a new independent chair.

3.3       Buddle Findlay has provided some amendments to the Constitution and the Shareholders Agreement for consideration, and these have been reviewed and approved by the TCL Board and Waste Management (WM) New Zealand.  Council has obtained independent legal advice from Anderson Lloyd in relation to the proposed amendments, and the advice is that the proposed amendments to the Constitution and Shareholders Agreement do not make any material changes to the current governance framework for Transwaste, and should not, therefore, pose any material issues for Council.

3.4       TCL is now seeking CRLJC approval of these amendments.

3.5       One of the key recommendations for the governance structure of TCL is the reduction of Group A (WM New Zealand) and Group B directors (CRJLC appointed) from four to three each, and the adoption of an independent chair. 

3.6       Sheffield Executive Recruitment publicly advertised the role of independent chair and facilitated the short listing and interviews of candidates. Mr Grant Miller was recommended as the preferred candidate from this process.

Considerations

3.7       It is noted that Mr Miller is a current CRJLC appointed director. Mr Miller will tender his resignation as a CRLJC appointed director upon appointment to the independent chair role. This has been considered by Buddle Findlay Lawyers as appropriate. The CRLJC has the option of either:

3.7.1   Appointing an interim member to replace Mr Miller until the 2025 local body elections.

3.7.2   Delaying the appointment to replace Mr Miller until after the 2025 local body elections (preferred option).

Delegations

3.8       The Canterbury Regional Landfill Joint Committee holds the delegation to adopt the amended Constitution and Shareholders Agreement, i.e., individual Councils do not need to approve any change to TCL’s constitution (and therefore an amendment of the Shareholders Agreement).

3.9       This delegation comes from two sources, as well as TCL’s constitution which does not specifically refer not contain any provision regarding the process required for its amendment:

3.9.1   The Committee’s Constituting Agreement section 18b grants the delegation from the Councils to the Committee, in respect of the Committee exercising its voting rights attached to their shares.

3.9.2   The Companies Act section 32(2) grants the power to amend the company’s constitution by way of special resolution between the shareholders.

3.10    The TCL Constitution has historically been amended (in 1999 by way of special resolution, signed by Canterbury Waste Services Limited, and by the Committee itself via the Chairperson and the Committee Secretary) as consistent with the advice above.

 

 

 

 

 

 

 

 

 

 

 

 

 

 

Attachments Ngā Tāpirihanga

No.

Title

Reference

Page

a

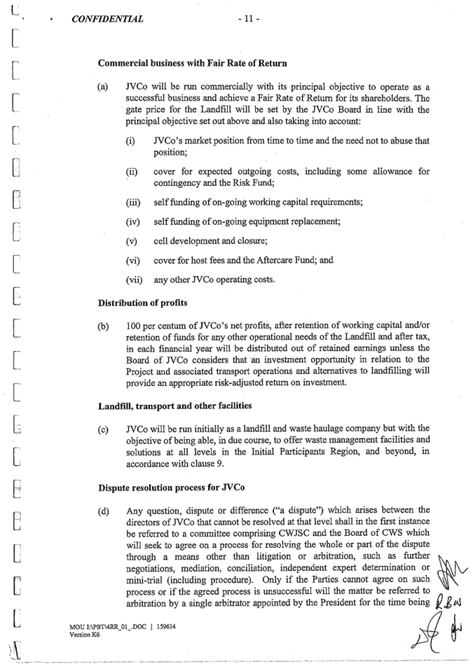
Memorandum of Understanding - 3.9.1998

25/617872

8

b

Comparison of new version of Constituting Agreement against original

25/637845

62

c

Comparison of new version of Share Holders Agreement against original

25/637852

94

d

Transwaste Board - special resolution revoking and adopting constitution

25/637853

118

e

Transwaste Canterbury Limited - Constitution

25/637854

120

f

Transwaste Canterbury Limited - Shareholders Agreement

25/637856

144

 

 

Signatories Ngā Kaiwaitohu

Authors

Natasha McDonnell - Democratic Services Advisor

Elizabeth Neazor - Manager Legal Service Delivery

Approved By

Alec McNeil - Manager Resource Recovery

Lynette Ellis - Head of Transport & Waste Management

 

 


A document with text on it

AI-generated content may be incorrect.

A close-up of a document

AI-generated content may be incorrect.

A paper with text on it

AI-generated content may be incorrect.


A paper with text on it

AI-generated content may be incorrect.

A document with text on it

AI-generated content may be incorrect.





A paper with text on it

AI-generated content may be incorrect.












































A white rectangular object with black text

AI-generated content may be incorrect.


A screenshot of a computer

AI-generated content may be incorrect.

A screenshot of a computer

AI-generated content may be incorrect.

A screenshot of a test

AI-generated content may be incorrect.

A screenshot of a test

AI-generated content may be incorrect.

A screenshot of a computer

AI-generated content may be incorrect.

A screenshot of a computer

AI-generated content may be incorrect.

A screenshot of a computer

AI-generated content may be incorrect.

A screenshot of a computer

AI-generated content may be incorrect.



A screenshot of a computer

AI-generated content may be incorrect.

A screenshot of a computer

AI-generated content may be incorrect.

A screenshot of a computer

AI-generated content may be incorrect.

A screenshot of a computer

AI-generated content may be incorrect.

A screenshot of a computer

AI-generated content may be incorrect.

A screenshot of a computer

AI-generated content may be incorrect.

A screenshot of a computer

AI-generated content may be incorrect.

A screenshot of a computer

AI-generated content may be incorrect.

A screenshot of a computer

AI-generated content may be incorrect.

A screenshot of a computer

AI-generated content may be incorrect.

A screenshot of a computer

AI-generated content may be incorrect.

A screenshot of a paper

AI-generated content may be incorrect.

A screenshot of a test

AI-generated content may be incorrect.

A screenshot of a test

AI-generated content may be incorrect.

A screenshot of a computer

AI-generated content may be incorrect.

A screenshot of a computer

AI-generated content may be incorrect.

A screenshot of a computer

AI-generated content may be incorrect.

A close-up of a paper

AI-generated content may be incorrect.

A white paper with black text

AI-generated content may be incorrect.

A screenshot of a computer

AI-generated content may be incorrect.


A close-up of a document

AI-generated content may be incorrect.

A page of a paper with red and blue lines

AI-generated content may be incorrect.

A screenshot of a computer

AI-generated content may be incorrect.

A screenshot of a computer

AI-generated content may be incorrect.

A screenshot of a computer

AI-generated content may be incorrect.

A screenshot of a computer

AI-generated content may be incorrect.

A screenshot of a computer

AI-generated content may be incorrect.

A screenshot of a computer

AI-generated content may be incorrect.

A screenshot of a computer

AI-generated content may be incorrect.

A screenshot of a computer

AI-generated content may be incorrect.

A screenshot of a computer

AI-generated content may be incorrect.

A screenshot of a computer

AI-generated content may be incorrect.

A screenshot of a computer

AI-generated content may be incorrect.

A screenshot of a computer

AI-generated content may be incorrect.

A screenshot of a computer

AI-generated content may be incorrect.

A screenshot of a computer

AI-generated content may be incorrect.

A screenshot of a computer

AI-generated content may be incorrect.

A screenshot of a computer

AI-generated content may be incorrect.

A screenshot of a computer

AI-generated content may be incorrect.

A screenshot of a computer

AI-generated content may be incorrect.

A screenshot of a computer

AI-generated content may be incorrect.

A close up of a form

AI-generated content may be incorrect.

A close up of a form

AI-generated content may be incorrect.

A white rectangular object with red text

AI-generated content may be incorrect.


A document with black text

AI-generated content may be incorrect.

A white background with black dots

AI-generated content may be incorrect.


A white paper with black text

AI-generated content may be incorrect.

A list of information on a paper

AI-generated content may be incorrect.

A close-up of a questionnaire

AI-generated content may be incorrect.

A paper with text on it

AI-generated content may be incorrect.

A paper with text on it

AI-generated content may be incorrect.

A paper with text on it

AI-generated content may be incorrect.

A document with text on it

AI-generated content may be incorrect.

A close-up of a document

AI-generated content may be incorrect.

A document with text on it

AI-generated content may be incorrect.

A document with text on it

AI-generated content may be incorrect.

A document with text on it

AI-generated content may be incorrect.

A paper with text on it

AI-generated content may be incorrect.

A paper with text on it

AI-generated content may be incorrect.

A document with text on it

AI-generated content may be incorrect.

A document with text on it

AI-generated content may be incorrect.

A paper with text on it

AI-generated content may be incorrect.

A paper with text on it

AI-generated content may be incorrect.

A close-up of a document

AI-generated content may be incorrect.

A document with text on it

AI-generated content may be incorrect.

A document with text on it

AI-generated content may be incorrect.

A document with text on it

AI-generated content may be incorrect.

A document with text on it

AI-generated content may be incorrect.

A paper with text on it

AI-generated content may be incorrect.

A screenshot of a document

AI-generated content may be incorrect.


A document with black text

AI-generated content may be incorrect.

A white paper with black text

AI-generated content may be incorrect.

A paper with text on it

AI-generated content may be incorrect.

A screenshot of a test

AI-generated content may be incorrect.

A screenshot of a test

AI-generated content may be incorrect.

A screenshot of a test

AI-generated content may be incorrect.

A screenshot of a document

AI-generated content may be incorrect.

A screenshot of a document

AI-generated content may be incorrect.

A screenshot of a test

AI-generated content may be incorrect.

A screenshot of a computer

AI-generated content may be incorrect.

A screenshot of a computer

AI-generated content may be incorrect.

A screenshot of a computer

AI-generated content may be incorrect.

A screenshot of a computer

AI-generated content may be incorrect.

A screenshot of a document

AI-generated content may be incorrect.

A screenshot of a paper

AI-generated content may be incorrect.

A screenshot of a computer

AI-generated content may be incorrect.

A white paper with black text

AI-generated content may be incorrect.

A close-up of a form

AI-generated content may be incorrect.